1/43
Looks like no tags are added yet.
Name | Mastery | Learn | Test | Matching | Spaced | Call with Kai |
|---|
No analytics yet
Send a link to your students to track their progress
Face Value -A
F
# of compounding periods in a year -A
m
# of years to maturity -A
N
# of periods to maturity -A
n
Annualized interest rate (YTM) -A
R
Periodic Interest rate -A
r
Coupon payments per period -A
c
Coupon payments per year -A
C
n-period rate at time t -A
yt^n
Bond Price -A
B
Dollars -A
C
Interest/annual rate -A
r
Years/frequency of compounding -A
T
Principle -A
P
Annual percentage rate -A
APR
Cash flow discounting

# of periods to maturity (n)
N x m
Periodic Interest rate (r)
R/m
Coupon payments per year (C)
Coupon rate x F
Coupon payments per period (c)
C/m
Zero coupon bond formulas - Method 1

Zero coupon bond formulas - Method 2
ONLY when c = 0

Full Bond price (B)
Coupon Bond = Annuity + Zero-Coupon Bond

Accrued Interest
(Days since Last payment / Days in coupon period) x Coupon Payment
Dirty Price
Clean price + Accrued interest
Clean Price
Dirty price - Accrued interest
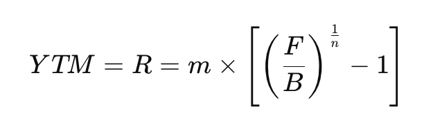
YTM (R) of a Coupon Bond
Solve for r by using the full bond price formula
then multiply by m
FOR: R (YTM) = m x r

Expectation Theory

Fisher Equation
(1 + Real rate) = (1+ nominal rate)/(1+Inflation)
Compounding & Future Value
C(1+r)^T
Present Value (One period)

Discounting & Present Value (multiple periods)

Discounting Multiple Cash Flows

Perpetuities
PV = C/r
Growing Perpetuities
PV = C / (r-g)
Annuity

Growing Annuity

General Formula

Effective Annual Rate (EAR)

Net Present Value (NPV)
PV (benefits) - PV (costs)
Growing Rate - A
g
Total Inflation
= (1+r1) x (1+r2) x (1+r3)…..
where r = Inflation rate
Price of Coupon Bond (PV cash flow)
Cash Flow x (Zero Price/Face Value)
→ Then: Add the sums up
YTM (R) of a Zero Coupon Bond
