1/9
Looks like no tags are added yet.
Name | Mastery | Learn | Test | Matching | Spaced | Call with Kai |
|---|
No analytics yet
Send a link to your students to track their progress
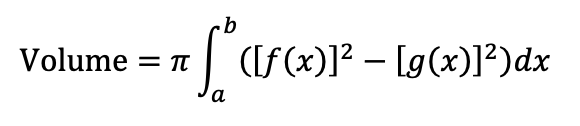
washer method revolving around x axis

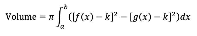
washer method revolving around y = k

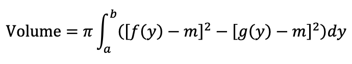
washer method revolving around x = m

Square cross sections

rectangle cross sections

Known cross sections (intersection points)

equilateral triangle cross sections

isosceles right triangle cross sections

semicircles cross sections

disc method
