1/25
Looks like no tags are added yet.
Name | Mastery | Learn | Test | Matching | Spaced | Call with Kai |
|---|
No analytics yet
Send a link to your students to track their progress
What 6 amino acids are considered nonpolar aliphatic?
Glycine
Alanine
Proline
Valine
Leucine
Isoleucine

What are the 3 aromatic amino acid structures?
Phenylalanine (Nonpolar)
Tyrosine (polar)
Tryptophan (polar)

What are the 4 strictly polar amino acids?
Asparagine
Glutamine
Serine
Threonine

What are the sulfur containing amino acids?
Methionine
Cysteine

What are the strictly negatively charged amino acids?
Aspartate
Glutamate

What 3 amino acids have the characteristic of being positively charged?
Arginine
Lysine
Histidine

Fisher Projection for Glycine:

Fisher Projection for Alanine:

Fisher Projection for Proline:

Fisher Projection for Valine:

Fisher Projection for Leucine:

Fisher Projection for Isoleucine:

Fisher Projection for Phenylalanine:

Fisher Projection for Tyrosine:

Fisher Projection for Tryptophan:

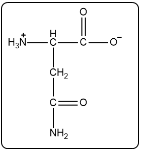
Fisher Projection for Asparagine:

Fisher Projection for Glutamine:

Fisher Projection for Serine:

Fisher Projection for Threonine:

Fisher Projection for Methionine:

Fisher Projection for Cysteine:

Fisher Projection for Aspartate:

Fisher Projection for Glutamate:

Fisher Projection for Arginine:

Fisher Projection for Lysine:

Fisher Projection for Histidine:
