1/49
Looks like no tags are added yet.
Name | Mastery | Learn | Test | Matching | Spaced |
|---|
No study sessions yet.

Which amino acid is this
Glycine

Which amino acid is this
Alanine

Which amino acid is this
Valine

Which amino acid is this
Leucine

Which amino acid is this
Isoleucine

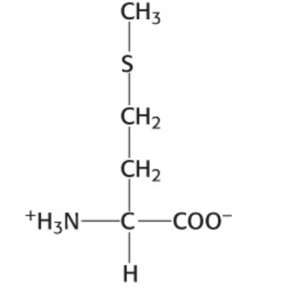
Which amino acid is this
Methionine

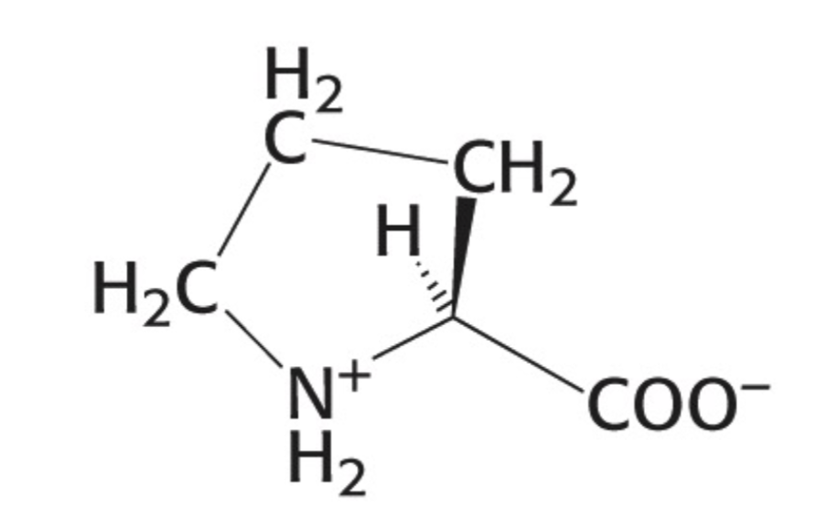
Which amino acid is this
Proline

Which amino acid is this
Phenylalanine

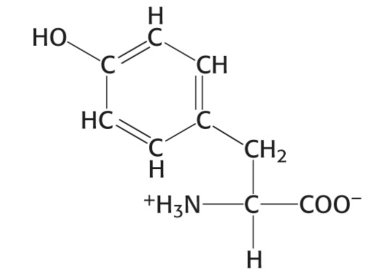
Which amino acid is this
Tyrosine

Which amino acid is this
Tryptophan

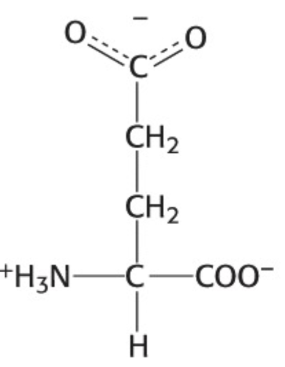
Which amino acid is this
Aspartate

Which amino acid is this
Glutamate

Which amino acid is this
Lysine

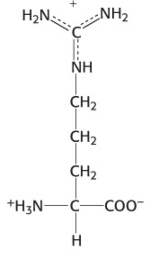
Which amino acid is this
Arginine

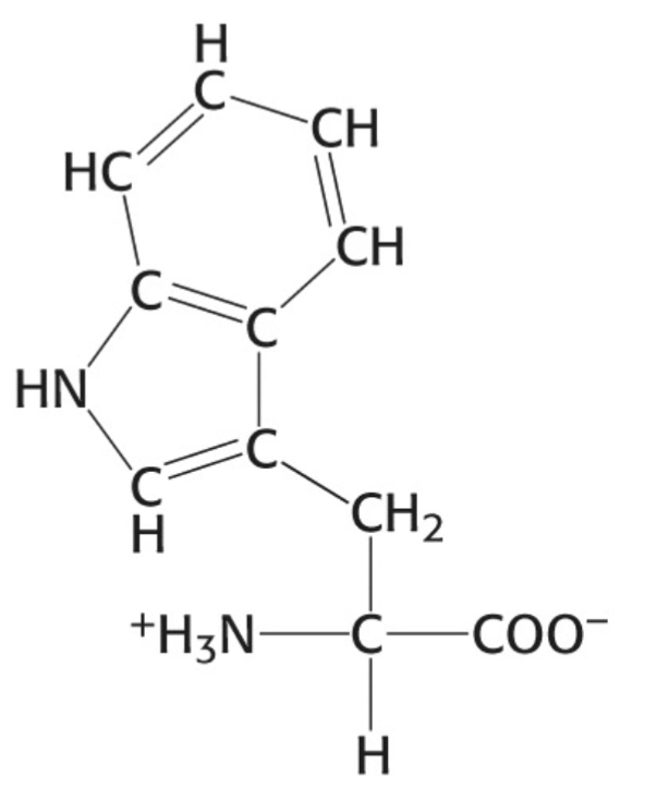
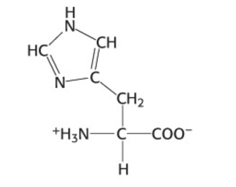
Which amino acid is this
Histidine

Which amino acid is this
Serine

Which amino acid is this
Threonine

Which amino acid is this
Asparagine

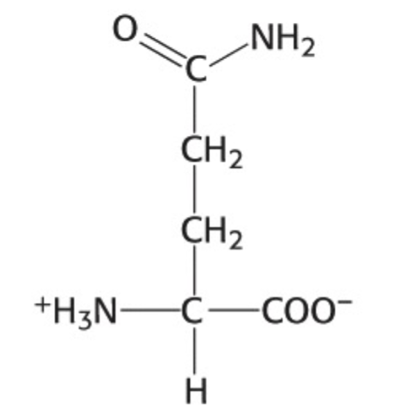
Which amino acid is this
Glutamine

Which amino acid is this
Cysteine
Is glycine polar or nonpolar
Nonpolar
Is alanine polar or nonpolar
nonpolar
Is valine polar or nonpolar
nonpolar
Is leucine polar or nonpolar
nonpolar
Is isoleucine polar or nonpolar
nonpolar
Is methionine polar or nonpolar
nonpolar
Is proline polar or nonpolar
nonpolar
Is phenylalanine polar or nonpolar
nonpolar
Is tyrosine polar or nonpolar
nonpolar but also partially polar
Is tryptophan polar or nonpolar
nonpolar
Is aspartic acid polar or nonpolar
polar
Is glutamic acid polar or nonpolar
polar
Is lysine polar or nonpolar
polar
Is arginine polar or nonpolar
polar
Is histidine polar or nonpolar
polar
Is serine polar or nonpolar
polar
Is threonine polar or nonpolar
polar
Is asparagine polar or nonpolar
polar
Is glutamine polar or nonpolar
polar
Is cysteine polar or nonpolar
polar
What amino acids comprise spider silk
glycine and alanine
What amino acid’s sequences are found in toll-like receptors; innate immunity proteins that detect bacterial infections
Leucine
Collagen contains large amounts of this amino acid
Proline-Fact
Which amino acid forms a key part of the light-emitting green fluorescent protein from jellyfish
Tyrosine
Which two amino acids have negative R groups
Aspartate and Glutamate
Which two amino acids are involved in mineralization of mollusk shells and vertebrate bones
Aspartate and Glutamate- Min
Which three amino acids have positive charges on the R group
Histidine, Arginine, Lysine
Histone proteins contain high amounts of these two amino acids
lysine and arginine
What three amino acids are the sites of carbohydrate attachment to proteins
Serine, Threonine, Asparagine
This amino acid forms a region important for structural units in proteins such as the insulin receptor
cysteine