1/39
Looks like no tags are added yet.
Name | Mastery | Learn | Test | Matching | Spaced | Call with Kai |
|---|
No analytics yet
Send a link to your students to track their progress

True

D and E are both correct
Both A and B are correct, but more info is needed to see if its correct or not
Doesn't say how long they will coexist for
C: coexistence if neither is near carrying capacity
Once they do -> better competitor out compete the other one
A: predator mediated co-exisnce
B: Niche partioning
C: short term coexistence
D or E: have to say co-existence for the long term
If it does -> D is the only answer
Without: E because it also exists short term co-existence
Once carrying capacity, other things need to be involved (other mechanism)
regular disturbance, niche partioning, other spcies,
What did the old definition of Niche depend on?
Old: Negative interactions form basis of niches
More recent: importance of multaism and commensalism that impact where they can be in space
What is mutualism?
when two interacting individuals both experience a net benefit from an interaction (+/+)
Characteristics
More common in harsh environments where species may struggle to persist
Struggling to persist -> gain help to stabilize presence in community
By-products benefits - benefits of mutualism outweigh costs of mutualism for both species
Cooperation/ mutualism is a byproduct by you directly benefit
Both benefit directly from cooperation
Can involve protection from predators/herbivores/ competitors, or increased access to resources
What is altruism?
Form of mutualism
I help you and don't get a direct benefit
What is reciprocity?
delayed mutualsim
What is pollination predator protection?
service mutualism (providing surface)
What is a common mutualism?
plant and fungi
Plants form strong relationships with fungi
Fungi give more access to volume of soil so they can draw
Can also mobilize phosphate
If lost -> short lived species (terminal branches -> don’t leave descendants)
Lose it when they become carnivorous because they can digest insects instead of from soil

What is FM fungi?
Some form symbiotic relationships with plants and algae
Plants gain access to nutrients and maybe pathogen protection, fungi gain food (carbohydrates)
Mostly nitrogen and phosphate in soil access
Some the fungi protect roots in soil from pathogens (service)
Fungi gets carbon from plants
What are ascomycetes?
Some form symbiotic relationships with cyanobacteria and green algae (lichens)
Some are EMF (ectomycorrhizal) à form symbiotic relationships with plant roots
Ecto: don’t enter plant cells (surround it) -> give plants nutrients in return for carbohydrates

What can tightly linked mutualism lead to?
co-evolution
Strong direct interactions where they both benefitting
Strong evolutionary pressure sources on each-others
Agents of NS on each other -> can cause them to evolve to be better at commensalism (co-evolution) to keep higher fitness
Humming bird bills
Modified bills
Converged along with plants as they became flowering plants (they pollinated those plants)
Hummingbirds, moths, bats have strong evolution with angiosperms
Flower shape matches bill shape -> specialists
Humming birds can also be generalists

What is symbioses?
close, prolonged interaction between two species, often with one species providing habitat for other species to live in
Symbiosis
Pea aphids have bacteria to help digest food
Get food from whatever the aphid digests
Mutualism so tight
Phylogenetic tree and aphid perfectly match
When the aphid speciated so did the microbe
= vertical transmission
Microbe from your parent (same for humans)

What are the types of symbioses?
Types of symbioses
One is living on or inside the other
Mutual gut biome is their home
Also be internal parasites
commensalists
what is Obligate mutualism?
a mutualism in which at least one of the interacting organisms cannot survive without the other organism
Ex: obligate for face mites, commensilaist for us
Pea aphids form symbioses with Buchnera bacteria Obligate mutualism
Aphids need the amino acids provided by Buchnera to survive
Buchnera can no longer live on their own – they require host environment to survive
What is Commensalism?
when one individual benefits from an interaction and the other species neither benefits nor is harmed (+/0)
Looser bond -> less likely to co-evolve (need strong impact on both species to co-evolve)
Cattle move through field -> flying insects fly away -> bird eats them
Easy way to see what food is in the field
Doesn't help the cattle

What can commensalism lead to?
Commensalism can lead to mutualism (NS select for mutualism)
Water buffallo: most cattle don’t care
Water evolved to recognize the alarm call form the birds and react to it -> mutualism (gaining information)

What is facilitation?
when one species benefits another species indirectly, often through its impact on a third species or on the environment itself.
Nurse plants
In arid habitats, conditions are harsh, making it difficult for seedlings to grow
Trees like paloverde, mesquite, ironwood shade the ground, decreasing water loss by evaporation, increasing soil fertility
This increases seed germination and seedling survival rates for other plants in the same area
Nurse plants
Plants that create habitat for baby plants of multiple species
Desert where sun this the ground and soil is dry due to evaporation
Trees shade soil
More water in soil with less evaporation
Lots of baby plants in sun shelter -> increases germination and seedling surving x

What can happen with any relation?
Facilitation and commensalism
Nurse doesn't care because they are so small
When it becomes larger -> might compete with nurse plant for mycrhoozial interactions and resources
Relationships can change in time and space

B
Ask teacher if it eating insects they observe escaping ants would not be commensalism because its taking food they could have?
What are interactions?
Positive interactions in harsher conditions can become negative
Soil temperature
Cat tails and forget me not
Cat tails
Soils are anoxic (decomp can use lots of oxygen, and for water logged soils its hard for oxygen to permanent deeper)
Plants roots have high oxygen demands -> can hamper growth in low oxygen level
Can passively transports in oxygen through air spaces in leaves to roots and add oxygen to soil
For own benefit and neighbor can also access it
Forget me nots don’t have availability to move oxygen
Low temp: soil oxygen increased with cattails
Inc in oxygen made forget me nots happier
Soil oxygen did not increase when they were present at high temp
Maybe stressed
Only getting benefit at low soil temp -> context dependent
Plants at high altitude
Colder, shorter growing seas, pp of gases lower -> more likely to be mutualism with each other
Move them downhill -> become competition

What is community?
interacting populations of different species found in same place/time, interrelationships govern flow of energy and nutrient cycling within community
Pops found in the same time and space that interact
What is community structure?
set of characteristics that shape communities
Two important descriptors of this are…
Species diversity: how many species present (variability)
Species composition: who is present (ex: are deer present, specific species)
•Provides quantitative basis for generation of hypotheses to understand community function
What can impact community structure?
Direct effects
Indirect effects
What are direct effects?
influence of one species on another due to them interacting (predator/prey)
impact the species directly
What are indirect effects?
influence of one species on another through intermediaries
predators impact one another because they feed on same prey
Us interacting occurs in a community where other species is something they both interact with
Ex: harvest seals because they were competing with them for fish
Found out that fisherman and seals both consume same number of fish
Remove seals -> fisherman harvest went down because seals had direct negative effect on fish but they had positive direct affects as well by eating their predators
What is easier to measure and predict?
Direct effects are often easier to measure and predict,
but often community food webs do not react in predictable manner due to indirect effects
Direct effects can be measured easily
Indirect harder: through removal experiments
Make communities act in different directions and cause harm

Examples of species interactions?
Snow geese and lemmgins both eat grasses
Could have direct negative effect
Artic fox eats both, snowy owls only eat lemmings
Graph shows indirect and direct relations
Lemmings positive indirect with snow geese p

What is trophic cascade?
when the rate of consumption at one trophic level results in a change of species abundance / composition at lower trophic levels (causes a cascade)
Predators and prey can also have preds or their own and so on
Predation at higher level that impact lower trophic levels
Predation on herb can have positive indreict effect on basal because less herbs to eaet them

What happens in apex predator population changes?
changes in apex predator pop abundance → cascading effects that reach food webs
Killing apex predators
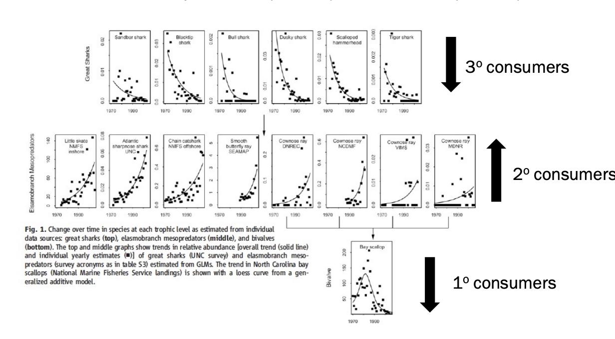
Sharks
Second degree consumer -> 1 degree etc can impact nutrients
Producers add nutrients to food web
Killing sharks
Prey of sharks going up -> scallops (filter feeders) go down
Changing the amnt of things in water column by inc secondary consumers?

What is trophic facilitation?
when a consumer is indirectly helped by a positive interaction between its prey and another species
Two species that interact directly in a way that benefits them (commen or mutualism) that benefit the predator
B1 Support higher biomass in B2 -> benefit predator

What is the relationship between aphids and Juncus and Iva?
Commensaltic relationship (trophic facilitation)
Juncus shades soil and salt buildup, and arinchma that adds oil
Iva grows more biomass -> aphids eat Iva -> higher colony of aphids
Aphids benefit indrecity form impact of juncus on IVA
Presence of junca
Help support higher predation and grow them
More positive effect than negative (commensalism)

What about cats?
indirect effects and be unpredictable
Cats Good hunters → kills birds and reptiles
Efforts to eradicate them from islands often lead to INCREASES in native wildlife losses → WHY?
Remove cats from islands -> can lead to further loss of life
Controls rats that is another invasive species -> remove cats -> remove control of rats that kept under carrying capacity
feral cats control invasive rats pop
remove cats → rats experience ecological release and grow exp → more native species killed by rats because they compete with them for food
cats direclty kill native species, but indirectly facilitate them by controlling rat population


C
What is a dominant species?
species that have a large effect on community because they are more numerous or have highest biomass within community
ex: deer have large impact when in high numbers
Deer are often abundant, especially in areas without wolves
Deer graze heavily on young trees → large impact on forests where deer are in high numbers because reduces tree recruitment rates
Deer are also be important seed dispersers for many plants
Each individual deer has a relatively small effect on community, but a deer population can have a large impact when it is very large
Large impact because there's lots of them
Little biomass -> little impact
Deer: lots of deer's disperse seeds, eat baby trees
Wolves removed -> deer's impact communities negatively
What are keystone species"?
species that affect other members of community in ways that are disproportionate to its abundance / biomass
one indiv → large impact
Sea Otters – keep sea urchin numbers in check, which maintains kelp beds

Ecosystem engineers?
species that actively shape their physical environment in ways that create habitat for for other species
Hippos – feed on terrestrial vegetation and defecate in rivers, moving nutrients from terrestrial ecosystem into aquatic one
Beavers – build dams that create pond/lake habitats

Foundational Species?
species that provide structural habitat for other species
Trees, coral reefs, sea kelp, mangrove trees are all foundational species because they provide physical structure that other species can live on/in

How are beavers ecosystem engineeers?
Beaver lodges block flow of water from surroundings to wetlands → makes pond that drowns all trees downstream of the lodges → creates homes for cavity-nesting birds, food for insects, and fungi

How does facilitation work with the types of species?
Facilitation can include different types of positive interactions
Foundational species
Species that provide structural habitat for others to live on/in
E.g. trees, coral reefs, kelp, mangroves
Ecosystem engineers
Species that modify the environment in ways that impact the biodiversity of the region
Can involve creating suitable habitat for species, creating habitat that is less suitable, or both!
Creation of habitats or fate of nutrients (hipos and beavers)
Nutrients: shape community features because it shapes what kind of primary production can take place

D (impact due to high numbers -> Dominant species)