1/12
Looks like no tags are added yet.
Name | Mastery | Learn | Test | Matching | Spaced | Call with Kai |
|---|
No analytics yet
Send a link to your students to track their progress
X-Linked Dominant (all daughters of an affected male have trait, no male to male transmission, sons have trait only if mother has it)

Autosomal Recessive (males and females have the same chance of expressing trait and it can skip generations)

Mitochondrial (transmits from a mother to ALL of her children and does NOT transmit through an affected father)

X-Linked Recessive (no male to male transmission, generally transmitted through a "carrier" mother who does not express trait and is more common in males)

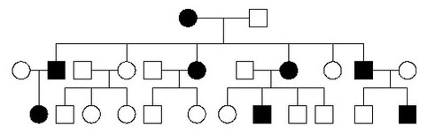
Autosomal Dominant

Autosomal Dominant

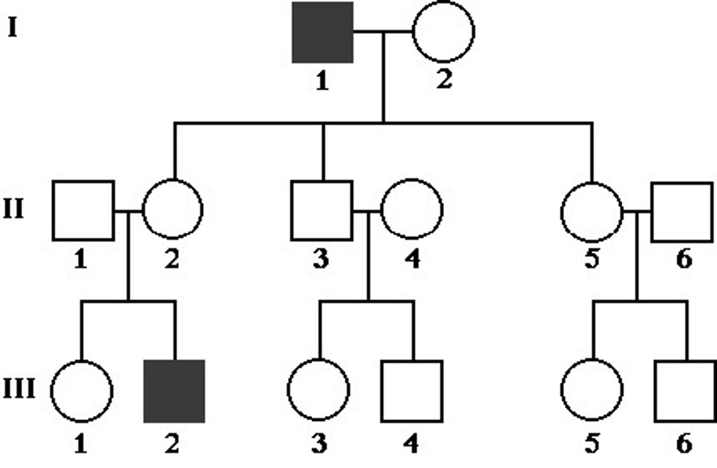
X-Linked Recessive

Autosomal Recessive

Autosomal Dominant

Autosomal Dominant
-expressed in individuals who have just one copy
-each offspring has a 50% chance on inheriting allele
Autosomal Recessive description
-manifest only when an individual has two copies of the mutant allele.
When two carriers mate:, each child
-25% chance homozygous wild-type (unaffected)
-25% chance homozygous mutant (affected)
-50% chance of being heterozygous (unaffected carrier).
X-linked Dominant description
-no transmission from father to son
-transmission from father to daughter (all daughters)
-50% chance of inheriting mutant allele from mother
-manifest with only one copy of the mutant allele
-gene is located on the X chromosome
X-linked Recessive description
-fully evident in males
-women are rarely affected unless they have two copies of the mutant allele
-father to daughter transmission
-mother to daughter and son transmission.