1/6
Looks like no tags are added yet.
Name | Mastery | Learn | Test | Matching | Spaced | Call with Kai |
|---|
No study sessions yet.
Give the equation of a graph
y = mx + c
What does m stand for
gradient
What does c stand for
y intercept
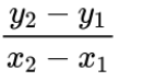
how do you work out the gradient of a line (m)

Give an alternative version of the equation for a line
ax + by + c = 0
What is the intercept method for plotting a graph
To find the y intercept, substitute x=0 into the y=mx + c equation (then you have the y coordinate, with the x coordinate = 0)
To find the x intercept, substitute y=0 into the y=mx + c equation (then you have the x coordinate, with the y coordinate = 0)