1/8
Looks like no tags are added yet.
Name | Mastery | Learn | Test | Matching | Spaced | Call with Kai |
|---|
No analytics yet
Send a link to your students to track their progress
conditional probability
the probability of event A occurring given event B has already occurred
picture

independence
event A occurring has nothing to do with event B occurring
information about A is irrelevant to the probability of B (and vice versa)
equations

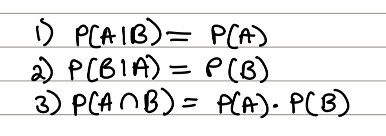
independence equations
at least one of these equations need to be true:
P(A | B) = P(A)
P(B | A) = P(B)
P(A ⋂ B) = P(A) * P(B)
mutually exclusive
event A and event b cannot happen at the same time
form of dependence
A ⋂ B = ∅
independence ≠ mutual exclusivity
if A and B are mutually exclusive, P(A | B) = 0
if P(A) ≠ 0, then P(A) ≠ P(A | B)
A and B are not independent
Additive Law
probability of a union of 2 events
P(A ⋃ B) = P(A) + P(B) - P(A ⋂ B)
ME: P(A ⋂ B) = 0
Ex: A = B, then (A ⋃ B) = A, (A ⋂ B) = A
Multiplicative Law
probability of an intersection of 2 events
definition of conditional probability flipped around
independent events
P(A ⋂ B) = P(A) * P(B)
Multiplicative Law Probability Statement
P(A ⋂ B) = P(A | B) * P(B)
Multiplicative Law Probability Statement
P(B ⋂ A) = P(B | A) * P(A)