1/27
Looks like no tags are added yet.
Name | Mastery | Learn | Test | Matching | Spaced | Call with Kai |
|---|
No study sessions yet.
Alcohol
-OH (hydroxy group)

Aldehyde
C=O (carbonyl group with hydrogen

Alkane
single bond (not functional group)

Alkene
double bond

Alkyne
triple bond

Amide
-CONH2, -CONHR, -CONR2

Amine
-NH2 (amino group)

Anhydride

Arene
aromatic ring

Carboxylic acid
-COOH

Ester
-COOR

Ether
-OR (alkoxy group)

Ketone
-C=O (carbonyl group)

Aldehyde

Halide
-F
- Cl
- Br
- I

hydroxyl
R-OH

Carbonyl
C=O

Imine
C=N

Nitrile
C triple bond N

Ketone
RCOR

Sulfoxide

Thiol
R-SH

Sulfide
R-S-R

Disulfide
R-S-S-R

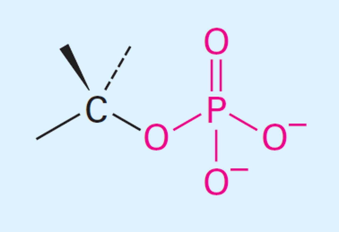
Monophosphate

Diphosphate

Thioester
R-C(=O)-S-R

Acid Chloride
R-C=O-Cl
