Calculus BC

0.0(0)
Studied by 12 people
call kaiCall Kai
learnLearn
examPractice Test
spaced repetitionSpaced Repetition
heart puzzleMatch
flashcardsFlashcards
GameKnowt Play
Card Sorting

1/44

flashcard set

Earn XP

Description and Tags

Last updated 3:31 AM on 12/13/22
Name
Mastery
Learn
Test
Matching
Spaced
Call with Kai

No analytics yet

Send a link to your students to track their progress

45 Terms

1
New cards
1
1
C. x^2/2 - 5/x + C
2
New cards

2. What is the slope of the line tangent to the graph of y = ln(2x) at the point where x = 4?
B. 1/4
3
New cards

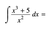
3. \

3. \
D. 2
4
New cards
4\.
4\.
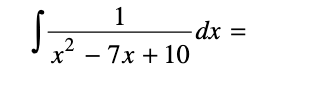
E. 1/3 ln |x-2/x-5| + C
5
New cards

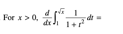
5. \

5. \
C. I and II only
6
New cards

6. The infinite series blah blah
E. the series diverges
7
New cards

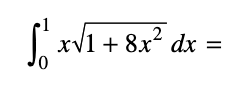
7. \

7. \
A. -7
8
New cards
8\.
8\.
B. 13/12
9
New cards

9. The function f has a first derivative given by f’(x) = x(x-3)^2(x+1). At what values of x does f have a relative maximum
A. -1 only
10
New cards

10. \

10. \
B. -2/e^2+2e
11
New cards

11. \

11. \
E. nonexsistent
12
New cards

12. Let f be the function given by f(x) = 9^x. If four subintervals of equal length are used, what is the value of the right Riemann sum approx. for Int 0-2 f(x)dx?
C. 60
13
New cards

13. A rectangular area is to be enclosed by a wall on one side and fencing on the other three sides. If 18 meters of fencing are used, what is the maximum area that can be enclosed?
E. 81/2m^2
14
New cards

14. Let P(x) = 3-3x^2 +6x^4 be the fourth-degree Taylor polynomial for the function f about x = 0. What is the value of f(4)(0)?
E. 144
15
New cards

15. Suppose ln x - ln y -4, where y is a differentiable function of x and y = 4 and x = 4. What is the value of dy/dx when x = 4?
B. 1/5
16
New cards

16. \

16. \
A. k^3/6
17
New cards

17. Which of the following is the Maclaurin series for e^3x
E. 1 + 3x
18
New cards

18. \

18. \
B. 1/9
19
New cards

19. For what values of x does the graph of y = 3x^5 + 10x^4 have a point of inflection?
B. x = -2 only
20
New cards

20. if f’(x) = (x-2)^3(x^2-4)/16 and g(x) = f(x^2-1), what is g’(2)?
B. 5/4
21
New cards

21. \

21. \
D. 2 sqrt5 + 2 sqrt2 + 2
22
New cards

22. What is the interval of convergence of the power series …
B. 1
23
New cards

23. What is the particular solution to the differential equation dy/dx = xy^2 with the initial condition y(2) = 1?
D. y = 2/6-x^2
24
New cards
24\.
C. III only
25
New cards

25. what is the slope of the line tangent to the polar curve r = cos 0- at the point where 0- = pi/6?
B. -1/sqrt3
26
New cards

26. \

26. \
A. 1/2sqrtx(1+x)
27
New cards
What is the cofficient of x^2 in the taylor series for sin^2x about x = 0
D. 1
28
New cards
The function h is given by h(x) = x^5+3x-2 and h(1)=2. If h^-1 is the inverse of h, what is the value of (h^-1)’(2)?
B. 1/8
29
New cards

76. The figure above shows the graph of the differentiable function f for
C. u
30
New cards

77. The # of antibodies y in a patient’s blood stream at time t is increasing according to a logistic differential equation. Which of the following ?
E. dy/dt = 0.025y(5000-y)
31
New cards

78. What is the area of the region enclosed by the graphs of y = 1/1+x^2 and y = x^2 - 1/3?
C. 1.582
32
New cards

79. A vase
E. 80.115
33
New cards

80. \
A. p’(-2) < 0
34
New cards

81. At time t = 0 years, a forest preserve has a population of 1500 deer.
D. 10,141
35
New cards

82. The figure above shows the graph of f’
A. 1 relative min, 1 relative max, and 3 points of inflection
36
New cards

83. The table above gives values of f’ the derivative of a function f. If f(1) = 4, what is the approx. to f(2) obtained by using Euler’s method with a step size of 0.5?
C. 4.35
37
New cards

84. A sphere is expanding in a such a way
B. 16cm^3/sec
38
New cards

85. for t >= 0, the components of the velocity of a particle moving in the xy-plane are given
C. 0.495
39
New cards

86. the table above
B. 49
40
New cards

87. if 0 < Bn < An for n >= 1
B. if converges
41
New cards

88. a particle moves along
B. The velocity of the particle is 0for some t between t = 0 and t = 1.
42
New cards

89. The function f is given by f(x) =
E. 2.694
43
New cards

90. A particle moves along a line so that its velocity is given
E. (0.177, 1.256) and (2.057,inf)
44
New cards

91. line l is tangent
D. 2.798
45
New cards
92\.
A. 63

Explore top notes

note
Study Guide Unit 1
Updated 413d ago
0.0(0)
note
To Kill A Mocking Bird-Chapter 1
Updated 1202d ago
0.0(0)
note
Chapter 8 - Emotions & moods
Updated 1339d ago
0.0(0)
note
Primitive Types
Updated 1074d ago
0.0(0)
note
Chapter 2- England's Colonies
Updated 1406d ago
0.0(0)
note
APUSH Timeline (copy)
Updated 325d ago
0.0(0)
note
Pre-Adolescent Development (10-14)
Updated 1145d ago
0.0(0)
note
Study Guide Unit 1
Updated 413d ago
0.0(0)
note
To Kill A Mocking Bird-Chapter 1
Updated 1202d ago
0.0(0)
note
Chapter 8 - Emotions & moods
Updated 1339d ago
0.0(0)
note
Primitive Types
Updated 1074d ago
0.0(0)
note
Chapter 2- England's Colonies
Updated 1406d ago
0.0(0)
note
APUSH Timeline (copy)
Updated 325d ago
0.0(0)
note
Pre-Adolescent Development (10-14)
Updated 1145d ago
0.0(0)

Explore top flashcards

flashcards
Business Finance WW4. AU4
26
Updated 900d ago
0.0(0)
flashcards
Commerce Unit 2
22
Updated 1053d ago
0.0(0)
flashcards
Gen psych exam 1 fall 2024
93
Updated 541d ago
0.0(0)
flashcards
SPAN 261H Final Exam
67
Updated 1198d ago
0.0(0)
flashcards
Semester 1: Charlemos
21
Updated 59d ago
0.0(0)
flashcards
Exam 2 History Review
34
Updated 1136d ago
0.0(0)
flashcards
Femur
34
Updated 479d ago
0.0(0)
flashcards
Business Finance WW4. AU4
26
Updated 900d ago
0.0(0)
flashcards
Commerce Unit 2
22
Updated 1053d ago
0.0(0)
flashcards
Gen psych exam 1 fall 2024
93
Updated 541d ago
0.0(0)
flashcards
SPAN 261H Final Exam
67
Updated 1198d ago
0.0(0)
flashcards
Semester 1: Charlemos
21
Updated 59d ago
0.0(0)
flashcards
Exam 2 History Review
34
Updated 1136d ago
0.0(0)
flashcards
Femur
34
Updated 479d ago
0.0(0)