1/24
Looks like no tags are added yet.
Name | Mastery | Learn | Test | Matching | Spaced | Call with Kai |
|---|
No analytics yet
Send a link to your students to track their progress

What’s the product
Bromination reaction


Product?
Chlorination reaction


Product?
Iodination reaction


Product?
Fluorination reaction


Product?
Aromatic nitration reaction


Product?
Aromatic sulfonation reaction


Product?
Friedel Crafts Alkylation Reaction


Product?
Friedel Crafts Acylation Reaction


Product?
It’s also a friedel crafts reaction


Product?
Oxidation of Aldehydes


Product?
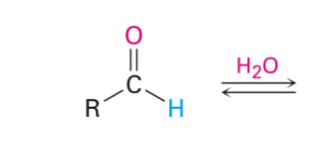
Nucleophilic addition of water: hydration


Product?
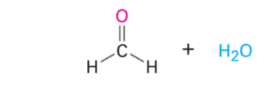
Nucleophilic addition of water: hydration


Product?
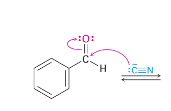
Cyanohydrin formation: nucleophilic addn reaction


Product?
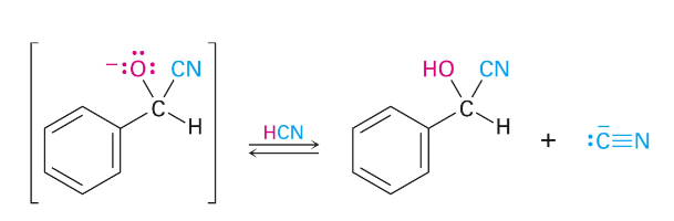
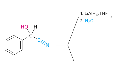
Reduction reaction: nucleophilic addition of HCN (cyanohydride formation)


Product?
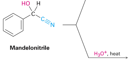
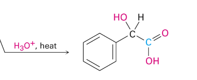
Hot acid catalysis: nucleophilic addition of HCN (cyanohydride formation)


Product
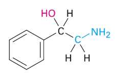
Alcohol formation: Nucleophilic addition of hydride reagent


Product
Alcohol formation: Nucleophilic addition of Hydride reagent


Product?
Nucleophilic addition of Grignard reagent


Product?
Nucleophilic addition of Grignard reagent

Product?
Nucleophilic addition of amine: imine formation


Product?
Nucleophilic addition of amine: enamine formation


Product?
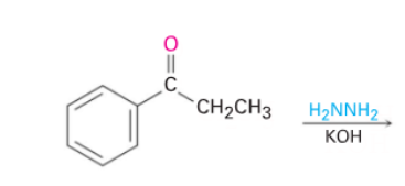
Nucleophilic addition of hydrazine: wolff kishner reaction


Product?
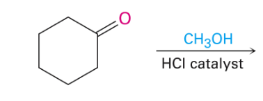
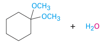
Nucleophilic addition of alcohols: acetal formation


Product?
Nucleophilic addition of alcohols: acetal formation


Product?
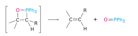
Wittig reaction
Good for turning aldehydes and ketones into alkenes
