1/96
Name | Mastery | Learn | Test | Matching | Spaced | Call with Kai |
|---|
No analytics yet
Send a link to your students to track their progress
relating statements (smallest circle to biggest)
ordinal, cardinal, ratio scale
relating relationships (smallest circle to biggest)
ratio scale, cardinal, ordinal
weak pareto
if everyone is better off in y than x then y is better than x (y>x)
strong pareto
everyone is @ least as well-off in y as x & at least 1 person is better off in y than x, then y>x
Utilitarian Principle
should perform an action/choose policies that lead to the greatest sum-total of wellbeing
=sum of consequentialism & sum-ranking welfarism
an action is morally right iff it maximizes the sum total of wellbeing
5 branches of philosophy
metaphysics (being, reality, existence), epistemology (knowledge, belief, justification), ethics (morality, right/wrong), logic (reasoning, argumentation), aesthetics (art & beauty)
consequentialism
should perform an action that results in a best outcome (outcome thats at least as good as any other attainable outcome).
perform iff its outcome is better than the outcome of any alternative action available
welfarism
only individual wellbeing determines whether one outcome is better than another
sum ranking welfarism
1 outcome is better iff the sum-total of individual (implied from welfarism) wellbeing is >
utilitarian economics
scare resources & goods should be allocated in such a way that they maximize the sum-total of wellbeing
unit cardinal comparability
the wellbeing of an individual has a cardinal structure & wellbeing gains/losses of different ppl can be compared
*says that well-being can be quantified in a such a way that it’s meaningful to “take the sum of well-being across different individuals” (quantitative structure of wellbeing)
transitional equity
if x is obtained from y by inc the wellbeing of 1 person by k & dec. the wellbeing of another person by k, then x & y are equally good
2 outcomes are equally good irrespective of how equally they distribute the wellbeing*
Fundamental Equivalence Theorem
UP is true iff p1-5 are true
Vixen Principle
for every x: x is a vixen iff x is female & x is a fox
INJS conditions
conditions that are necessary & sufficient for a concept x. x is X iff x satisfies c1 & x satisfies c2.
IN: if x is X then x satisfies c1
JS: if x satisfies c1 & x satisfies c2, then x is X
method of cases
philosophers test a principle by comparing:
what the principle says about the case
intuitive judgement about the case
1=2: evidence for the principle
1 doesn’t = 2: counterexample for the principle
thought experiments
an imagined case that invokes intuitive judgement. the case is designed to target a particular concept. the response to the case tells us about the nature of the concept in any case (real or imagined)
intuitive judgement
natural, quickly formed judgement about a specific case/thought experiment (gut feeling)
philosophers treat intuitive judgements as data
philosophers reactions to a counterexample
revise the principle (change so it aligns w intuitive judgement)
revise their intuitive judgement about the TE; “bite the bullet'“
dispute that the TE is a counterexample to the principle
*philosophers want principles to explain their intuitive judgements
method of reflective equilibrium
in order to decide which principles to accept/revise & which intuitive judgements to accommodate/reconsider, philosophers balance:
intuitive judgements wrt specific cases (thought experiments)
general arguments & considerations for/against principles that can be given on fundamental grounds
“According to the method of reflective equilibrium we should, in order to decide which moral theory to accept, balance all these general considerations with one another and with our intuitive judgements with respect to specific cases.”
what fundamentally matters (general arguments wrt UP; method of reflective EQ pt. 2)
morality is about what’s intrinsically good for ppl; it requires that we make their lives go as well as possible & promote wellbeing.
-no ones well being should be prioritized & this is ensured by maximizing the sum total of well-being
veil of ignorance (general arguments wrt UP; method of reflective EQ pt. 2)
when rational agents (veil of ignorance=not knowing which position they will occupy in society) need to choose a decision to govern all future political decisions, they would choose the UP
outrageous informational demands (general arguments wrt UP; method of reflective EQ pt. 2)
the UP relies on implausible assumptions about the structure of wellbeing
x-Phi [Experimental Philosophy]
intuitive judgements are not universally shared; diversity of intuitions
3 types of knowledge
propositional knowledge (know that something is the case)
procedural knowledge (know how to do something)
knowledge by acquaintance (know someone/something)
JTB [Justified True Belief] account of knowledge
for any person A & statement p: A knows that p iff:
P is true [truth condition]
A believes that P [belief condition]
A is justified in believing that p [justification condition; proof]
*analytic truths (pts 1-3)
*Truth, Belief, & Justification are individually necessary and jointly sufficient for knowledge!
Broken watch counterexample to JustifiedTrueBelief [JTB]
Ann checks her watch & sees the time is 11:03 & believes it bc she doesn’t know her watch is broken & usually checking ur watch is reliable
Intuition: Ann doesn’t know that its actually 11:03 (she’s just lucky)
JTB: Ann knows that its 11:03
Blame-cause principle
if agent A is to blame for situation S, then A’s action was one of the causes of S
Causation principle
Event C was one of the causes of event E iff: if c hadn’t occurred, then E wouldn’t have occurred either
proposition
something that can be either true/false, something expressed by a declarative statement, content of assertions/beliefs/other cognitive attitudes
argument
a collection of propositions
one of propositions is the conclusion, the others are premises
premises are reasons to believe/accept the conclusion
standard form of an argument
premise-conclusion form (1st list the premises (p1), (p2), etc, then the conclusion ©)
premise & conclusion indicators
signal that some claim is meant to be a premise or conclusion
“good” argument
quality of an argument depends on the quality of its premises
3 argument types
inductive
abductive
deductive
inductive argument
induce a general claim from particular observations
conclusion follows on the basis of stats/observed frequencies
attacked by: questioning premises, sample size/low representation
conclusion becomes more reliable after increasing & diversifying the sample size
abductive argument
an argument for which the conclusion is presented as a plausible explanation of the facts reported in the premises together w/ some background assumptions
draw a conclusion about something based on observations
attacked by: questioning premises, mentioning alternative explanations
Deductive/valid argument
the conclusion necessarily follows from the premises
the argument remains as convincing regardless of what/how many premises are added
attacked by: questioning premises
an argument is valid iff:
in every situation where p1…pn is true, c is true as well
no situation where the premises are true but the conclusion is false
sound argument
An argument is sound iff valid & all premises are true
Reductio
way to prove a valid argument
a proof or form of reasoning whereby one shows that a certain assumption leads to a contradiction & thus this assumption cannot be true
showing validity of an argument
reason about the meaning of the premises & conclusion in order to show that the latter can never be false if the former are all true
focus on form of the argument
counter example
some scenario where the premises could be true & the conclusion is still false
shows that an argument is invalid
also show what would have to be added to a given argument in order to render it valid
enthymeme
an invalid argument with suppressed (plausibly implicitly presupposed by a proponent of the argument aka a hidden assumption) premises that once added, render the argument valid
Modus Tollens argument
(p1) if p, then q
(p2) not q
© not p
propositional arguments that are valid in virtue of their form
Logical form of an argument
obtained by abstracting specific propositions/objects/properties/relations; leaving only the logical terms in place. (replace all non-logical terms w/ letters that function as variables)
types of logical form
propositional (what is obtained by from the meaning of propositions & treating them as placeholders/variables)
predicate
modal
modus ponens
(p1) if p, then q
(p2) p
© q
disjunctive syllogism
(p1) p or q
(p2) not p
© q
denying the antecedent
(p1) if p, then q
(p2) not p
© not q
affirming the consequent
(p1) if p, then q
(p2) q
© p
Predicate form
(p1) for every ___ “i”, if i is ___A___, then i is ___B___
(p2) ____i____ is ___A___
© ___i____ is ___B____
logic of quantifiers
finer analysis, allows us to check the formal validity of more arguments
instrumental vs. intrinsic goodness
what is good in virtue of something else vs what’s good in its own right (personal development/deeper=intrinsic)
theories of WB details
theories of well-being that we are interested in are all individualistic and outcome-oriented. They are about what it is that makes one outcome x better or worse than another outcome y, for any given individual i.
interpersonal
comparisons of wellbeing across different people
person A is better off given x than person B is given y
intrapersonal
concerns the wellbeing of a single person
x is better for A than y
absolute statements
someones wellbeing given a particular outcome meets a particular standard/threshold
comparative statements
compare states of wellbeing
hedonist theories
x>y iff x gives A more pleasure than y (both don’t give pain
*think of pain as negative pleasure (if both no pleasure but one is pain, the one w out pain is the better option for A)
preference-based theories of WB
x>y for A iff A’s prefrences are satisfied to a greater extent in x than in y
eudaimonic theories of WB
human flourishing; x>y for A iff in x A develops full potential as a human being to a greater extent (flourishing/proper functioning) than in y
capability theories of WB
x>y iff A’s functioning (what the person actually does; pluralist eudaimonism) & capabilities (what they could do/free&able to do) in x exceed those in y
Naussbaum’s Objective list theory
x>y iff for A, x contains more of the things on the list than y (brings higher wellbeing the more combinations of things on the list one can enjoy)
List:
bodily health
bodily integrity
imagination & thought
Love & emotions
pleasure & pain
practical reason
respect
other species
play
control
Amartya Sen’s view
there is no objective list, relevant capabilities are the subject of an ongoing debate, depends on who you ask
objective
A may be wrong about their own wellbeing; whether x>y for A depends on more than just what A thinks about x
eudaimonist & capability
subjective
define wellbeing solely in terms of the person’s subjective attitude towards x & y; ask A what they prefer (a cannot be wrong about their own wellbeing) to determine if x>y; hedonist & preference based
Paternalism
objective theories are paternalist bc they may go against what a person prefers themselves
the ultimate judge of what’s good for someone is not the person themselves, but something/someone else
2 types:
deciding what’s best for i without asking for their opinion
deciding what’s best for i, taking in their opinion, & deviating from it anyway
Robert Nozick’s experience machine
hedonist would plug into the machine
those who prefer not to be plugged in (argument for preference based & shows differences compared to hedonism)
Mental Adaptation TE (against hedonism)
individual has adapted their mindset to enjoy what others would view as “bad” conditions
counterargument to hedonism
Adaptive Preferences
changing preferences = counter example to preference based theories
*note: “to what extent our preferences are adapted to circumstances that appear in themselves unjust or otherwise problematic”
false beliefs
counter example to preference based theories
preferences based on false information; if they know the real facts, they would prefer something else
revised preference based theories
x is better for A iff A would prefer x to y given all the relevant information
time-sensitivity of preferences
preferences can change over time
restricted hedonism
not all types of pleasure count towards wellbeing (ex torture), therefore restrict the type of pleasure thats relevant for wellbeing
Laundered Preferences
*restrict/modify preferences to be used as a basis for judgements about wellbeing
constrain preferences to be:
based on complete & correct info about the relevant outcomes
based on sensible values
restricted to objects, activities, experiences, that the individual can actually possess
stable over time rather than depend on momentanous emotion
use strategies:
i) use survey methods or other tools that somehow ensure that subjects only reveal true, well-informed preferences
(ii) ask subjects not only about their preferences concerning concrete policies or objects of choice, but also about the values, beliefs, and goals that explain those preferences
(iii) re-interpret and “adjust” explicitly reported or revealed preferences in terms of relevant facts
about the case at hand
unit cardinal comparability
the wellbeing of an individual has a cardinal structure (assumption); & thus, the wellbeing gains & losses of different individuals can be compared with one another
utility function
the WB an individual gets from the various alternatives is standardly represented by a utility function
fix a set of alternatives X
a utility function is any function u that assigns a real # u to each xeX x→R
any function u that assigns a number u(x) to each alternative x
Transformations of a utility function
T(u(x))
strictly increasing
t(r1)>f(r2)
positive linear
t® = alpha® + beta
scalar
t(r)=alpha®
ratio scale statements
express ratios/products of a certain quantity (w/ a natural zero)
if its true for 1 utility function u, then its true for every scalar transformation of u
A ratio scale statement about Ann’s well-being is a statement for which you can determine whether it is true or false on the basis of a ratio scale representation.
cardinal statements
express ratios/products between differences of a certain quantity
if its true for 1 utility function u, then it's true for every positive linear transformation of u
A cardinal statement about Ann’s well-being is a statement for which you can determine whether it is true or false on the basis of a cardinal representation.
ordinal statements
express how certain objects are ordered
if the statement is true for 1 utility function u, then the statement is true for every strictly increasing transformation of u
An ordinal statement about Ann’s well-being is a statement for which you can determine whether it is true or false on the basis of an ordinal representation.
relating transformation types
if t is a scalar transformation, then t is a positive linear transformation
if t is a positive linear transformation, then t is a strictly increasing function
basic representation convention
a utility function for a person should assign a higher # to an alternative x than alternative y iff x is better than y for the person; AKA an ordinal representation of WB
iff x ⪰i y [x is at least as good for i as y]
ff x ≻i y [x is better for i than y]
iff x ≈i y [x and y are just as good for i]
relating statements
can find out if a statement is true/false on the basis of ordinal representation (minimum), but you can also find it from a cardinal bc cardinal representation contains more info (so you can also find out if its true/false from a cardinal representation therefore its also cardinal)
ordinal (innermost) 2. cardinal 3. ratio scale (outermost)
VNM function
For best & worst alternative for A (2 fixed points), the VNM utilities are 1 and 0
For any other alternative x, the VNM utility of x is equal to the probability p for which getting x for sure. is just as good for A as the lottery Lot(p) which yields the best alternative with probability p and the worst alternative with probability 1 − p.
Utility profile
N= finite set of individuals, x = set of outcomes. P=<ui>ieN for (N,X) specifies a utility function u:x→R for each i of N
to represent the wellbeing of several individuals @ outcomes
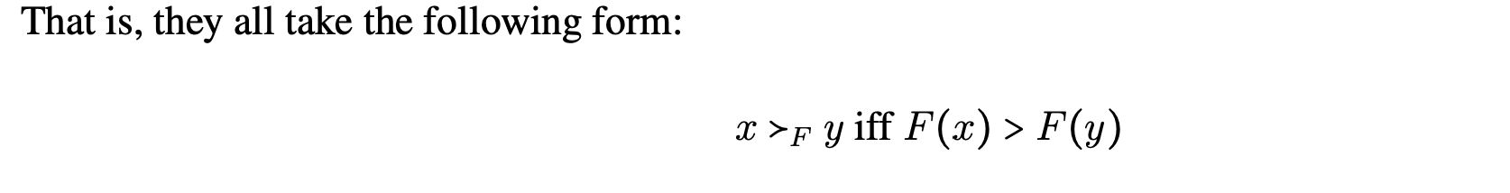
social welfare function
a function F that maps any utility profile p for (N,X) to a complete & transitive ordering >= F of the set of outcomes x
>= F is the betterness relation (specifies when 1 outcome in x is better than another)
write x ⪰F y = outcome x is at least as good as outcome y
x ≻F y = x is better than y
x ∼F y = x is just as good as y
Utilitarian Social Welfare Function
utility profile P=<ui>ieN for (N,X) & an outcome xeX. the social welfare of x given p is u(x)=sigma(sum) ieN ui(x)
for any 2 outcomes x,y of X: x>uy iff u(x)>u(y)
all social welfare functions:

Simple Rawlsian social welfare function

morality requires we take care of the worst off (take the min utility)
Difference Principle
Social & economic inequalities are to be arranged so that they’re to the greatest benefit of the least advantaged
Egalitarian Social Welfare Function
favors the equality in distribution of wellbeing

social welfare is determined by 2 factors:
1. sum-total of wellbeing
2. inequality in an outcome x which is measured as the difference in well-being
between the best-off and the worst-off person in x, and is weighed by factor 2 (weighted simple egalitarian can change the weight w from 2 to something else)
Simple Prioritarian Social Welfare Function
should prioritize the worst off
every gain in wellbeing counts, but give relative priority to the worst off
any prioritarian is: any strictly increasing & concave function f

a moral view that ranks outcomes according to the sum of a strictly inc & thus strictly concave transformation of individual wellbeing
Equality Respecting Social Welfare Function

a SWF is equality respecting if it says that the best distribution if the one in which wellbeing is = distributed; every person gets a WB of k/n
utilitarian SWF is not equality respecting, but all else we covered are: simple egalitarian, simple prioritarian, simple ralwsian.
*note: alternatives to u that are equality respecting violate transitional equity
Levelling Down
objection to SWF
by making everyone worse off = more equality = better according to SWF; counterintuitive
ratio scale/cardinal/ordinal comparable statements
a WB statement is ratio scale/cardinal/ordinal iff when the statement is true for 1 utility profile P=<ui>ieN then its true for every utility profile P=<ui’>ieN that’s obtained through applying a single scalar/positive linear/strictly increasing transformation t to each ui
unit cardinal comparable statements
iff when the statement is true for 1 utility profile P=<ui>ieN, then its true for every utility profile thats obtained by applying a positive linear transformation ti that are identical up to a constant Ti=ti®=alphar +betai
hierarchy of comparable statements
ordinal CS/Unit cardinal CS → cardinal CS → ratio scale CS
informational requirements of SWF
SP (simple prioritarian) = ratio scale comparable info
SE (simple egalitarian) = cardinal comparable info
SR (simple ralwsian) = ordinal comparable info
U (utilitarian) = unit cardinal comparable info