1/27
Looks like no tags are added yet.
Name | Mastery | Learn | Test | Matching | Spaced | Call with Kai |
|---|
No analytics yet
Send a link to your students to track their progress
Procedures covered by EP Overview:
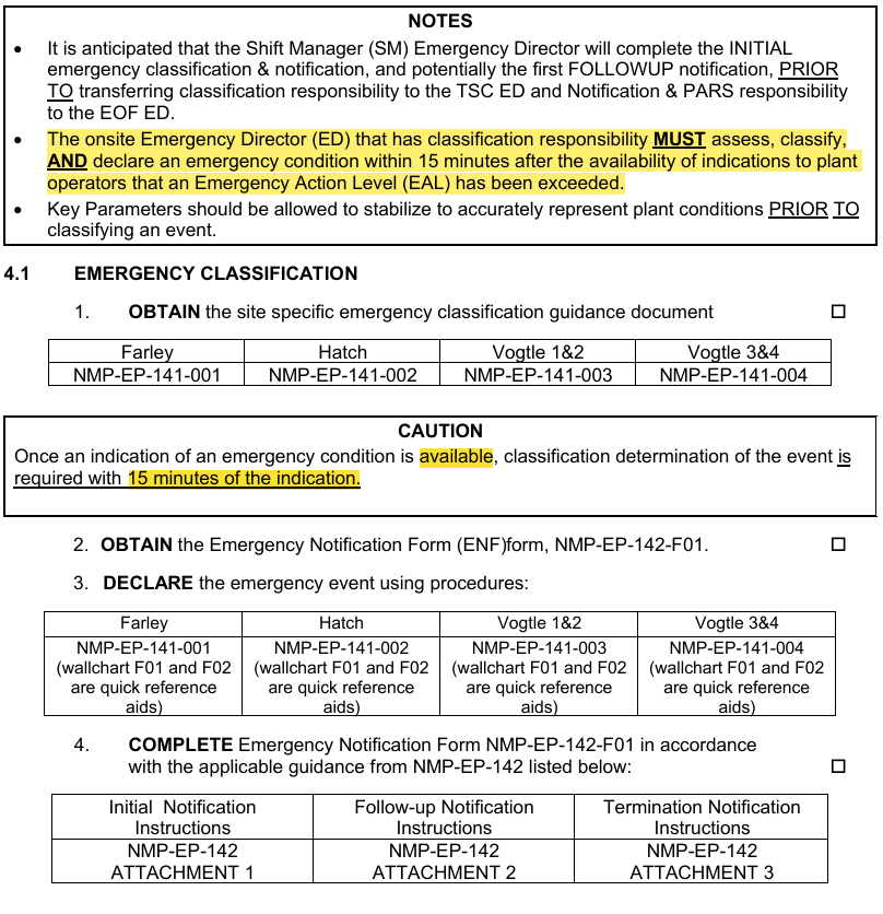
NMP-EP-141 Event Classification
NMP-EP-141-004 Vogtle 3&4 Emergency Action Levels and Basis
NMP-EP-142 Emergency Notification
NMP-EP-143 Facility Activation
NMP-EP-144 Protective Actions
NMP-EP-144-F01 PAR Worksheet
NMP-EP-144-F02 Emergency Exposure Authorization
NMP-EP-141 Event Classification
Responsibilities
Non-Delegable

NMP-EP-141 Event Classification
Declaration Time Requirement


NMP-EP-141 Event Classification
ERO Activation Requirements
Accountability

NMP-EP-141 Event Classification
Dose Projection
Upgrade/Termination
Late or Missed Classifications

NMP-EP-141-004 Vogtle 3&4 Emergency Action Levels and Basis
EAL vs. ECL

NMP-EP-141-004 Vogtle 3&4 Emergency Action Levels and Basis
Containment Closure
Explosion

NMP-EP-141-004 Vogtle 3&4 Emergency Action Levels and Basis
Needed for Safe Cooldown or Safe Shutdown
Plant Operator

NMP-EP-141-004 Vogtle 3&4 Emergency Action Levels and Basis
Reduced Inventory Definition
8% on Pressurizer WIDE Range

NMP-EP-141-004 Vogtle 3&4 Emergency Action Levels and Basis
Multiple Events


NMP-EP-141-004 Vogtle 3&4 Emergency Action Levels and Basis
Transient Conditions
Mode Changes during Classification
Imminent Conditions
Upgrading and Downgrading
Short-Lived Events

NMP-EP-142 Emergency Notification
ENN vs. ENS

NMP-EP-142 Emergency Notification
TSC ED
EOF ED

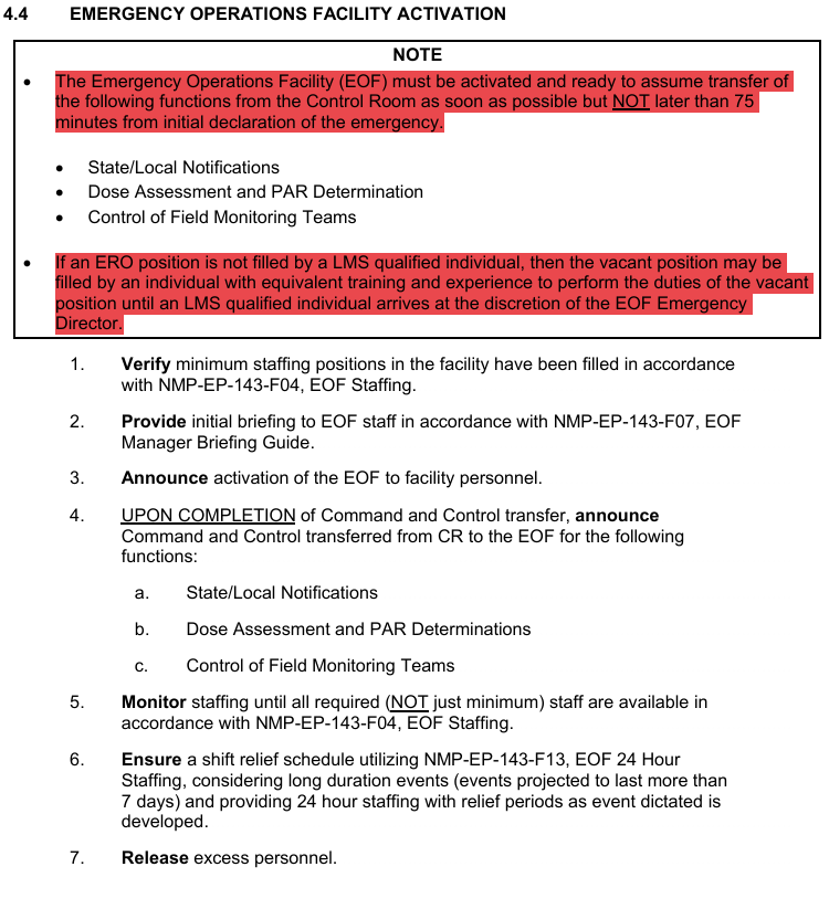
NMP-EP-143 Facility Activation
Transfer of Command and Control


NMP-EP-143 Facility Activation
TSC Activation
90 minutes
Location: Building 305 1st Floor

NMP-EP-143-F02
TSC Minimum Staffing

NMP-EP-143 Facility Activation
OSC Activation
90 minutes
Location: MSB 2nd Floor

NMP-EP-143 Facility Activation
EOF Activation
75 minutes
Qualifications

NMP-EP-144 Protective Actions
EPZ Definition
PAR Required

NMP-EP-144 Protective Actions
Fastbreaker

NMP-EP-144 Protective Actions
Non-Delegable

NMP-EP-144 Protective Actions
Site Accountability

NMP-EP-144 Protective Actions
Evacuate vs. Shelter conflict
Follow-up PAR

NMP-EP-144 Protective Actions
Beyond 10 mile

NMP-EP-144 Protective Actions
Emergency Exposure Control

NMP-EP-144 Protective Actions
Potassium Iodide (KI) Issuance


NMP-EP-144 Protective Actions
Initial PAR Flowchart
Follow-up Flowchart

NMP-EP-144-F02 Emergency Exposure Authorization
Emergency Response Personnel Exposure Guides
