1/43
Looks like no tags are added yet.
Name | Mastery | Learn | Test | Matching | Spaced | Call with Kai |
|---|
No analytics yet
Send a link to your students to track their progress
Step 1
Glucose + ATP » Glucose 6-phosphate + ADP

step 1 product
G6P/ADP

Step 1 enzyme
Hexokinase
Step 2
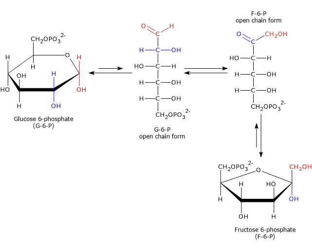
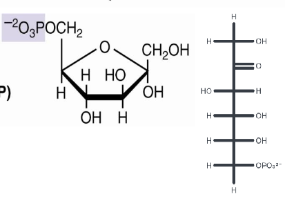
Glucose 6-Phosphate » Fructose 6-phosphate

step 2 product
fructose 6 phosphate

Step 2 enzyme
Phosphoglucose Isomerase
Step 3
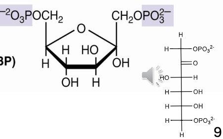
Fructose 6-Phosphate + ATP » Fructose 1,6-biphosphate + ADP

step 3 product
fructose-1,6-bisphosphate

Step 3 enzyme
Phosphofructokinase
Step 4
Fructose 1,6-biphosphate » glyceraldehyde 3-phosphate + dihydroxyacetone phosphate

step 4 product
DHAP G3P

Step 4 enzyme
Aldolase
Step 5
Dihydroxyacetone phosphate » glyceraldehyde 3-phosphate

step 5 product
G3P

Step 5 enzyme
Triose Phosphate Isomerase
Step 6
Glyceraldehyde 3-phosphate + NAD+ + Pi » 1,3-biphosphoglycerate + NADH

step 6 product
1,3-bisphosphoglycerate

Step 6 enzyme
Glyceraldehyde-3-phosphate dehydrogenase
Step 7
1,3-bisphosphoglycerate + ADP » 3-phosphoglycerate + ATP

step 7 product
3-phosphoglycerate

Step 7 enzyme
Phosphoglycerate Kinase

Step 8
3-phosphoglycerate » 2-phosphoglycerate

step 8 product
2-phosphoglycerate

Step 8 enzyme
Phosphoglycerate Mutase
Step 9
2-phosphoglycerate » phosphoenolpyruvate

step 9 product
PEP

Step 9 enzyme
Enolase
Step 10
Phosphoenolpyruvate + ADP » pyruvate + ATP

step 10 product
pyruvate

Step 10 enzyme
Pyruvate Kinase
mechanism of step 2
isomerization from aldose to ketose (ene-diol intermediate); G6P is rearranged to F6P
mechanism for step 4
a C6 intermediate is cleaved to two C3s. A covalent Schiff base intermediate is formed between the substrate and an ative-site of lysine; F1,6BP is split into DHAP and G3P

mechanism for step 6
oxidation and phosphorylation; covalent catalysis occurs and a nicotinamide enzyme is used; G3P + NAD+ + P is converted to 1,3BPG and NADH
G3P is oxidized: NAD+ gains electrons
G3P is phosphorylated at C1

mechanism for step 8
phosphoryl transfer from C3 to C2 via a phospho-histidine intermediate; 3PG » 2PG
mechanism for step 10
activation via F-1,3-BP and AMP, inhibition via ATP and acetyl-CoA; PEP + ADP » pyruvate + ATP
mechanism for step 5
ene-diol intermediate via Glu165 active site; DHAP ←→ G3P

what steps involve the release of a secondary product?
step 1:
ATP is invested and ADP is given off
step 3:
ATP is invested and ADP is given off
step 6:
NAD+ is invested and NADH is given off
step 7:
ADP is invested and ATP is produced
step 9:
water is produced in the production of PEP
step 10:
ADP is invested and ATP is produced
why is water produced in step 9?
because 2-phosphoglycerate loses two hydrogens and an oxygen to form a double bond in the formation of PEP; PEP has the same structure as 2-phosphoglycerate but it is missing an oxygen on C3 and has a newly formed double bond between C2 and C3
what step produced NADH from NAD+
step 6
in what steps is ADP invested and ATP produced
step 7 and 10
in what steps is ATP invested and ADP given off?
step 1 and 3
how is step 1 regulated
via G6P
own product inhibits its formation
hexokinase gets inhibited
how is step 3 regulated
inhibited: ATP/Citrate
activated: AMP and F-2,6-BP
PFK-1 activity regulation
how is step 10 regulated
inhibited: ATP/AcCoA
activated: F-1,6-BP/AMP
pyruvate kinase activity regulated