Genetics

0.0(0)
studied byStudied by 5 people
call kaiCall Kai
learnLearn
examPractice Test
spaced repetitionSpaced Repetition
heart puzzleMatch
flashcardsFlashcards
GameKnowt Play
Card Sorting

1/110

flashcard set

Earn XP

Description and Tags

Last updated 4:48 AM on 12/1/22
Name
Mastery
Learn
Test
Matching
Spaced
Call with Kai

No analytics yet

Send a link to your students to track their progress

111 Terms

1
New cards
meristic traiits
Phenotypes in which quantitative measurements are provided in whole numbers
2
New cards
Threshold traits
quantitative traits distinguished by number of discreate phenotypic classes (Has a small number of discreate classes)
3
New cards
Multigene hypothesis
Phenotype controlled by many genes which contribute in quantitative ways
4
New cards
Additive allele
Contributes something
5
New cards
Nonadditive allele
Contributes nothing
6
New cards
What happens when there are more additive alleles
There are more dominant appearances
7
New cards
How can phenotypics traits that show continuous variation be quantified
Through measuring, weight, etc...
8
New cards
1/4n
ratio of F_z expressing either extreme polygene
9
New cards
Antl
Number of distinct categories observed
10
New cards
Covariance
variation common to both traits
11
New cards
COV_xy
the sum of [(x,-x)(y,-y)]/n-1
12
New cards
Adaptation hypothesis
Implies phage & bacteria are essential to acquisition of immunity
13
New cards
Spontaneous mutation
Random mutation not induced by mutagenic agent
14
New cards
Luana & Delbruck
Fluctuation test provided first convincing evidence of bacteria
15
New cards
minimal medium
Contains only inorganic ions & organic carbon source
16
New cards
Prototroph
Strain capable of growing on minimal medium (Autotrophs are unable to do this)
17
New cards
Genetic recombination
Provides basis for chromosome mapping
18
New cards
Horizontal gene transfer
Nonreproductive transfer of genetic information from one species to another
19
New cards
Vertical gene transfer
Reproductive transfer
20
New cards
Conjugation
Info from one bacteria is transferred to another
21
New cards
F pilus
On bacteria cells posessing an F factor, a filament like projection that plays role in conjugation
22
New cards
Flexibility factor
Confers ability to donate part of chromosome during conjugation
23
New cards
To serve as a genetic material it must have
Replication
Storage of information
Expression of information
variation by mutation
24
New cards
Replication
Meiosis
25
New cards
Storage of information
requires molecule to act as repository for genetic info that may or may not be expressed
26
New cards
expression of information
information flow of transcription & translation
27
New cards
Proplasts
Bacteria with cell wall removed
28
New cards
Retrovirus
Virus using RNA or genetic material; employs enzyme reverse transcript use in life cycle
29
New cards
Mendel in populations
Frequencies of Alleles in populations permit the prediction of specific genotypic and phenotypic frequencies
30
New cards
Definition of Population:
A population is a group of individuals from the same species that can interbreed.
31
New cards
Subpopulation:
A local population that may enjoy/suffer partial mating isolation in relation to the total population.
32
New cards
A Gene Pool
all of the alleles present in population.
33
New cards
What does the Hardy Weinberg Equilibrium model?
the Number of Alleles That are Available in a Population to Contribute to Any Genotype.
34
New cards
The Hardy-Weinberg Equation:
A Mathematical Bridge Between Allele Frequencies and Genotypic Frequencies.
A Mathematical Bridge Between Allele Frequencies and Genotypic Frequencies.
35
New cards
The Hardy–Weinberg model assumes
-there is an equal rate of survival and reproduction (no selection)
-no new alleles arise or are created by mutation
-there is no migration into or out of the population
-the population is infinitely large
-random mating occurs
36
New cards
What are three additional important conditions of the Hardy-Weinberg Law
-Dominant traits do not necessarily increase from one generation to
the next
-Genetic variability can be maintained
-By knowing the frequency of just one genotype, the frequencies of other
genotypes can be calculated
37
New cards
How can you calculate frequencies of multiple alleles?
Through the use of the Hardy-Weinberg equation if you add more variables
38
New cards
Example of how the Hardy-Weinberg Law can be applied to humans
analysis of susceptibility to HIV-1 infection based on
the CCR5 gene, which encodes a protein called CCR5, which is
also a receptor for strains of HIV-1
analysis of susceptibility to HIV-1 infection based on
the CCR5 gene, which encodes a protein called CCR5, which is
also a receptor for strains of HIV-1
39
New cards
Violations of Hardy Weinberg expectations are often called
Microevolutions
40
New cards
Microevolutions
Evolution within a species, within a population seen with changes in allelic OR genotypic OR phenotypic frequency
41
New cards
What is an indicator of a genotype without changes to P and Q?
The population is Not Free Breeding, Inbreeding.
42
New cards
What is an indicator of changes in p and q?
1. Mutation, Adds New A or a Alleles.
2. Small Population Size Leads to Genetic Drift.
3. Migration, New Subpopulation Enters From Outside.
4. Natural/Darwinian Selection.
5. Neutral Evolution.
43
New cards
Mutation Rate:
Usually the Frequency, per Generation, That A Changes into a For a Given Population.
44
New cards
Genetic Drift and Natural Selection:
Both Cause Large Changes in p and q.
45
New cards
Genetic Drift:
Change in Allele Frequencies in a Population Due Solely to Sampling Error. Most Pronounced in Small Populations.
Change in Allele Frequencies in a Population Due Solely to Sampling Error. Most Pronounced in Small Populations.
46
New cards
What does Genetic Drift often lead to?
“Fixation” of an Allele, Eliminating Polymorphism in a Population
47
New cards
Shifty Peaks:
Darwinian Selection Alters Variation in a Population by Causing a Relative Loss or Gain of Individuals With Specific Phenotypes (and Associated Genotypes)
Darwinian Selection Alters Variation in a Population by Causing a Relative Loss or Gain of Individuals With Specific Phenotypes (and Associated Genotypes)
48
New cards
How Does Selection Act:
By Increasing or Decreasing the Probability that a Phenotype (and Genotype) will Produce Offspring
49
New cards
Darwinian Fitness:
The Relative Likelihood that a Phenotype Will Survive to Maturity and Contribute Progeny to the Next Generation.
50
New cards
Reproductive Success:
The Average Number of Offspring Produced by Any Individual Genotype. Important in All Calculations of Darwinian Fitness.
51
New cards
Using Relative Fitness to Modify Allele Frequencies in the Hardy Weinberg Equation. example
____
____
52
New cards
To Determine Frequencies After One Generation of Selection We Must Again Make This Equation = 1.
____
____
53
New cards
Using a Data Set to Calculate Mean Fitness and Frequencies After One Generation of Darwinian Selection.
______
______
54
New cards
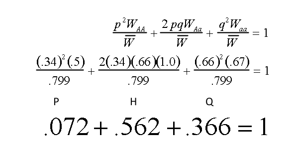
For W = .799, After One Generation of Selection, What Are the New Genotypic Frequencies?
____
____
55
New cards
After One Generation of Selection in Favor of the Heterozygote How Have the Genotypic Frequencies Changed.
Lowered Fitness of AA and aa Results in an Increase in Individuals that are Aa in the Next Generation, Because Homozygotes are Less Able to Produce Progeny.
Lowered Fitness of AA and aa Results in an Increase in Individuals that are Aa in the Next Generation, Because Homozygotes are Less Able to Produce Progeny.
56
New cards
phylogenies
evolutionary histories
57
New cards
Example of phylogenetic trees
-Branches represent lineages over time
-Groups that consist of an ancestral species and all its descendants
are called monophyletic groups
-Branches represent lineages over time
-Groups that consist of an ancestral species and all its descendants
are called monophyletic groups
58
New cards
The Neanderthal Genome Project has resulted in a draft sequence of the Neanderthal genome
-The genome contains 3.2 billion base pairs, the same as ours
-It is 99.7 percent similar to our genome
-Both the Neanderthal genome and our genome are 98.8 percent similar to that of the chimpanzee
59
New cards
Biological Informatics:
DNA is the Cell’s Hard Drive But that Means it Must be Copied with Each Cell Division
60
New cards
What are the Three modes of DNA replication?
-Conservative
-Original helix is conserved and two newly synthesized strands come together

-Semiconservative
-Each replicated DNA molecule consists of one "old" strand and one new strand

-Dispersive
-Parental strands are dispersed into two new double helices
-Conservative
    -Original helix is conserved and two newly synthesized strands come together

-Semiconservative
     -Each replicated DNA molecule consists of one "old" strand and one new strand

-Dispersive 
      -Parental strands are dispersed into two new double helices
61
New cards
Two possible models of DNA replication
Semiconservative
Semi discontinuous
62
New cards
What happens when the strands of the helix are unwound
it creates a replication fork
63
New cards
DNA polymerase
catalyzes DNA synthesis and requires a DNA template, a complemented primer with a free 3’OH, and all four deoxyribonucleoside triphosphates (dNTPs)
catalyzes DNA synthesis and requires a DNA template, a complemented primer with a free 3’OH, and all four deoxyribonucleoside triphosphates (dNTPs)
64
New cards
What are things that DNA polymerases I, II, and III can and can't do?
can elongate an existing DNA strand (called a primer)
cannot initiate DNA synthesis
65
New cards
How many subunits is DNA polymerase III made up of?
10
10
66
New cards
There are seven key issues that must be resolved during DNA
replication:
-Unwinding of the helix
-Reducing increased coiling generated during unwinding
-Synthesis of a primer for initiation
-Discontinuous synthesis of the second strand
-Removal of the RNA primers
-Joining of the gap-filling DNA to the adjacent strand
-Proofreading
67
New cards
What binds to the origin of replication and is responsible for
the initial steps in unwinding the helix
DnaA
DnaA
68
New cards
Outline of DNA Replication
_____
_____
69
New cards
Gyrase/Topoisomerase:
Relaxes Helix Above the Replication Fork, Helicase Melts the DNA Double Helix
70
New cards
SSB:
Prevents Template Strands from Resealing
71
New cards
Primosome:
Produces the RNA Primer
72
New cards
DNA Pol I
Eats Primers, Synthesizes Replacement DNA, 5’-3’ Exo, 5’-3’ Pol…Ligase: Seals the Nicks.
73
New cards
Eukaryotic DNA replication shares many features with
replication in bacteria
-Double-stranded DNA unwound at replication origins
-Replication forks are formed
-Bidirectional snythesis creates leading and lagging strands
-Eukaryotic polymerases require four deoxyribonucleoside
triphosphates, a template, and a primer
74
New cards
However, eukaryotic DNA replication is more complex due to
several features of eukaryotic DNA:
-There is more DNA than prokaryotic cells
-The chromosomes are linear
-The DNA is complexed with proteins
75
New cards
Genetic recombination involves
-endonuclease nicking
-strand displacement and pairing with complement
-ligation
-branch migration
-duplex separation to generate the characteristic Holliday structure
-endonuclease nicking
-strand displacement and pairing with complement
-ligation
-branch migration
-duplex separation to generate the characteristic Holliday structure
76
New cards
What is Genetic exchange at equivalent positions along two chromosomes with substantial DNA sequence homology referred to as?
general, or homologous, recombination
77
New cards
Positive Supercoiling:
Addition of twists Tending To Overwind the DNA Helix. (Tends to Tighten the Helix)
78
New cards
Negative Supercoiling:
Addition of twists Tending to Underwind the DNA Helix. (Tends to Loosen the Helix)
79
New cards
What are chromatin?
Eukaryotic chromosomes are complexed into a nucleoprotein structure
80
New cards
Heterochromatin:
Highly Condensed and Tightly Compacted Regions of the Chromosome. Few or No Genes are Present.
81
New cards
Euchromatin:
Less Condensed Regions of Chromosomes, Home to Most of the Genes Found on Chromosomes.
82
New cards
What is Chromatin bound up in nucleosomes with?
positive charged proteins called histones or less positively charged nonhistones
83
New cards
The five main types of histones
H1
H2A
H2B
H3
H4
84
New cards
nucleosomes
linear array of spherical particles inside of chromatin fibers
85
New cards
Sequence Complexity:
Relative Proportions of DNA in an Organism That Show Similar or Disimilar Sequences. More Complex Sequences Have Fewer Repetitive Elements.
86
New cards
Highly Repetitive DNA:
DNA With Little or No Gene Coding Ability. No Genic Information. 100s-1000s of Copies.
87
New cards
Mid-Repetitive DNA:
DNA Encoding tRNA, rRNA, snRNA and Other Multi-Copy Genes. 10s-100s Copies.
88
New cards
Unique DNA:
Most Genes on the Chromosome. 1-10s Copies.
89
New cards
Bacterial Phenotypes are usually what?
growth, nutrition or drug resistance phenotypes
90
New cards
Selection
the growth of the organism under conditions in which only the phenotype of interest grows well, whereas the wild type does not.
91
New cards
Antibiotic Resistance
Allows bacteria to continue to infect hosts even under antibiotic treatment.
92
New cards
Phage Resistance
Allows bacteria to grow in viruses that would normally kill them.
93
New cards
What happens when the F factor is present,
the cell is able to form a sex pilus and serve as a donor of genetic information
94
New cards
what happens when During conjugation, a copy of the F factor is transferred from the F+ cell to the F- recipient,
it converts the recipient to the F+ state
95
New cards
what does An Hfr (high-frequency recombination) have?
the F factor integrated
96
New cards
An Hfr strain can donate genetic information to an F– cell, the recipient does not become F+
F+ x F- 🡪 recipient becomes F+ (low rate of recombination)

Hfr x F- 🡪 recipient remains F- (high rate of recombination)
97
New cards
What did Interrupted matings demonstrate in an Hfr strain
specific genes in an Hfr strain are transferred and recombined sooner than others
98
New cards
How is The chromosome of an Hfr strain transferred?
lineraly
99
New cards
how can The gene order and distance between genes be predicted
Time mapping
100
New cards
What is an F factor?
a Plasmid a self replicating “mini-chromosome” that can be transferred from bacteria to bacteria and replicated