1/71
Looks like no tags are added yet.
Name | Mastery | Learn | Test | Matching | Spaced | Call with Kai |
|---|
No analytics yet
Send a link to your students to track their progress
properties of electrical charges
positive and negative, total charge within system are conserved, charge is a lorentz invariant- is not changed when moving relativistic speeds, only come in quantities of e
what did milikan’s oil drop experiment find
charge is quantised in e, oil droplets were charged, charge changed until weight = electric force
what is coulomb’s law
follows superposition principle

what is the triboelectric effect
rubbing touching objects can transfer electrons, causes static electricity and damages electrons
what is the voltage from the triboelectric effect

what is the induced charge like without a ground
charges are free to move, + attracted, - repelled

what are induced charges with ground like
charges free to move, if ground and negative removed, conductor stays charged

what is induced charge like with an insulator
charges not free to move, aligns dipoles

what is a field
quantity that has a value at all points in space and time in a system
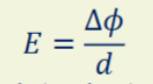
what is an electric field equation

what are properties of electrostatic field lines
point towards negative, strength represented by density, never cross, follows superposition principle
work done on a parallel capacitor
charge feel force strenght qE, work done = Fd
what is the potential difference of a capacitor

what is the energy of a parallel capacitor

what is gauss’ law

properties of electric fields
are conservative, work done on moving charge is independent of route taken, by moving a charge energy is converted into potential energy to E-field
what is the work done in an e-field

work done for a closed loop
is a line integral

what is electric potential
voltage = potential energy per charge
what is scalar potential field
work done per charge is a field, energy has no direction, measured in volts (J/C)
what is the potential of a scalar

what is an equipotential surface
points in space that have the same electric potential, no work is done along an equipotential, E-fields are normal to them, larger density = stonger E-field
potential energy to electric field equation

what is a perfect conductor
no resistance, all points have the same electric potential so there is no potential difference, E-field = 0 , charge density = 0, all charge resides on surface

what is a capacitor
stores all charge when connected to a potential, measured in farads
how to calculate capacitance

what is a faraday cage
conducting enclosure, free charges in conductor rearrange so that E-field inside is 0 due to superposition cancelling
how does charge q in faraday cage affect it
at all points E-filed is 0 , flux is 0
charge enclosed induces -q at surface of cavity to keep it neutral
creates E-field in conductor, charge on outside of cavity is not uniform

how does charge in 1 cavity effected other cavity of faraday cage
does not induce any charge has no effects
what is the potential energy in a capacitor

what is a dipole (p)
formed from 2 equal and opposite charges that are separated by d and fixed to each other
how do dipoles act in insulators
when charge is brought near insulator, temporary dipoles are induced
what is the E-field on a line with dipole

what is the E-field perpendicular to dipole

what is the potential from a dipole

what is the general E-field of a dipole
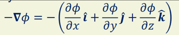
differentiate potential

why dp dipoles have a torque and energy
no net force, has an angle so has a torque, force acts perpendicular at distance d/2, equilibrium at angle = 0, energy to bring dipole form infinity is at angle = pi/2

what is the total torque of a system
where p = qd

what is potential energy of a dipole

what is the unit for a magnetic field
tesla = N / (C ms^-1)
properties of magnetic field
charge moving through magnetic field experiences a force, force is perpendicular to motion and B-field
what is the force of a B-field
found using right hand rule, does no work

what is the lorentz force

what is the motion of a charge particle in a B-field
force is perpendicular to velocity, force from B-field = centripetal force
what is force on current carrying wire
BIL
what is the speed of curretn in wire
v = I / nAq
what is the worl done by a magnetic field
0
how do charges effect B and E-fields
B - is only non-zero if charge is moving
E - always non-zero
what directions do force in B and E-field act in
B - perpendicular to v and B
E - parallel to E
what is the Biot-Savart Law
I - current flowing through distance dl
dB - resulting magnetic field at point distance r in direction r
direction found through right hand rule

what is gauss’ law for magnetic fields
because flux form complete loops, have no magnetic monopoles

what is ampere’s law
j - current density vector

what are solenoids
helical coil of wire, N turns, length L, B-field in = uniform, B-field out = 0
what are mono/dipoles in magnetostatics
monopoles don’t exist, dipoles are ‘building blocks’
what is the vector magneitc moment
perpendicular to loop

what is the torque from dipoles in external B-fields

what is the potential from dipoles in external B-fields

what is ideal battery
work done to seperate charge
what is EMF
work done to overcome E-field in battery
what is the emf of a battery
total potential in volts in closed loop

what is potential of a motion in B-field

equation for flux of B-field

what is faraday’s law
changing flux provides emf, not always current

what is lenz’s law
direction of induced emf is in opposite direction to flux
what is emf created by rotating conducting disk

what is 4th maxwell equation
changing B-filed created E-field

what is an eddy current
current loops that exert a force, forces energy loss to heat
due to current not confined to wire, current oppose change in flux
fixed ampere’s law

equation for mutual inductance
M12 = M21

what is emf in transformer

how are number of turns and emf related in transformer

equation for mutual inductance of transformers
