1/22
Looks like no tags are added yet.
Name | Mastery | Learn | Test | Matching | Spaced | Call with Kai |
|---|
No analytics yet
Send a link to your students to track their progress
Show how the equation F \Delta t = \Delta p is related to Newton’s second law
Newton’s second law f=ma

What is the SI unit for change in momentum
\operatorname{kg}m^{-1}s^{-1}

Add labels to the diagram and derive the equation for circular acceleration

define time period
the time taken to complete one full rotation, wave or cycle
explain why the kinetic energy of the satellite in orbit around the earth do not change (4 marks)
Speed and mass of the satellite is constant KE=1/2mv²
W=fxd
work is only done if the force is parallel to the distance.
Gravity is doing no work on the satellite, because the forces are perpendicular to the satellite’s direction of motion.
therefore the energy of the satellite is constant
why is it important that the satellite continues to move round the earth at a constant speed?
In order for it to keep orbiting around the earth and not crash down.
By having the satellite have a constant speed and energy, whille havinf a change in velocity. who’s distance that is perpendicular to the centrepetal force from gravity.
what is 30 degrees in Pi radians
30× 2pi/360 = 0.524 radians
1 degree in radians is….
2pi/360 radians
360 degree in radians is..
2pi radians
what is 2.4 radians in degrees?
2.4 × 360/pi (flip the fraction)



At which point does the passenger feel the heaviest?
At point B because the reaction force is greater

Write 2 equations for the forces on the rollercoaster at point A and B
B S-mg=ma=mv²/r
A S+mg=ma=mv²/r



Calculate the force exerted on the track on a rollercoaster moving at 20ms at point A with a mass of 500kg


Calculate the maximum speed the rollercoaster can travel at B and remain in the track




Show that \tan\theta=\frac{v^2}{rg} Where r=L\sin\theta

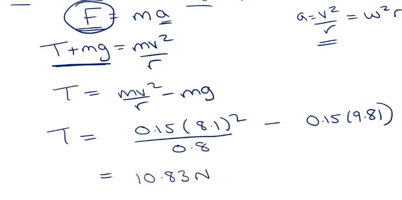
A small object moves in a circle with radius 2m, at a constant speed. When the object reaches the highest point the tension in the string is 6N, and the objects mass is 0.5kg. What is the speed of the object?
6.6 ms

A 0.2kg object is attached to a string and spun around in a horizontal circle with a radius of 1.5m. if the object completes 3 revolutions every 4 seconds, calculate the tension in the string.

What does \omega represent?
Angular velocity ms^-1 rad^-1
Derive a=r\omega^2
a=\frac{v^2}{r}=\frac{\left(rw\right)^2}{r}=\frac{r^2w^2}{r}=rw^2
Using v=rw

what equations are for the centrepetal force on the rollercoaster on a loop de loop?
