1/14
Looks like no tags are added yet.
Name | Mastery | Learn | Test | Matching | Spaced | Call with Kai |
|---|
No analytics yet
Send a link to your students to track their progress
What is a market / industry ?
Firms producing or selling homogeneous or similar products to certain consumers.
Product boundaries and market share ?
As more substitues appear on the market, the relative market share of the leading producers decreases

What is market structure ?
Theoretical and qualitative assessment of the extent to which firms compete with each other in a market or industry
Firms number is not a good measure
Types of market structures ?
• Perfect competition: competition between firms is extremely intensified
• Monopolistic competition: competition between firms is very high, but not as strong as in perfect competition
• Oligopoly: competition between firms is less intensified, in general
• Monopoly: no competition at all

What is market concentration ?
Proportion of the market controlled by a firm/company
2 elements to measure market concentration ?
- The number of firms
- Their relative market share
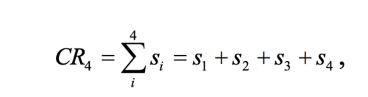
Market concentration ratio (CR) ?
Computed by aggregating the market shares of a certain number of the most dominant firms in an industry
CR^4 is the most common one

What does a CR of 0 means ?
That there is a lot of firms and they have a small share of the market, meaning that we might be in perfect competition
The greater the CR the more concentrated

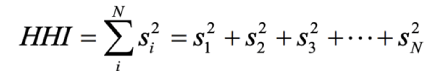
What is the Herfindahl-Hirschman Index ?
Computed by aggregating the market share of each firm squared in the industry
The higher the less competitive (more concentrated)

HHI rankings ?
• HHI < 1,500: weakly concentrated markets
• 1,500 ≤ HHI ≤ 2,500: moderately concentrated markets
• HHI > 2,500: highly concentrated markets.
CR4 and HHI ?
the more the firms in an industry, the less concentrated the industry, because both indices will decrease as firm number increases
If size distribution is uneven ?
Use HHI instead of CR4 as it might not reflect the true market concentration
What are CR4 and HHI ?
Post hoc assessment, calculations based on historical data
Changes over time (supply / demand varies)
What is demand sustainability ?
Extent to which consumers are able and willing to substitute one good for another in their consumption.
What is supply sustainability ?
Substitute the production of one good for the production of another
Extent to which firms are willing and able to substitute the production between two or more goods