1/18
Looks like no tags are added yet.
Name | Mastery | Learn | Test | Matching | Spaced | Call with Kai |
|---|
No study sessions yet.
transformations formula
a√bx-h +k
if a is negative
reflected across the x-axis
if b is negative
reflected across the y-axis *factor out negative or set equal to 0
k
vertical shift
k +
up
k -
down
|a| > 1
vertical stretch
0 < |a| < 1
vertical compression
h
horizontal shift
h +
left
h -
right
endpoint
(h, k)

Describe the transformations of each function compared to the parent function.
right 7, up 2

Describe the transformations of each function compared to the parent function.
vertical stretch by 4, down 1

Describe the transformations of each function compared to the parent function.
reflected across x-axis, reflected across y-axis, right 3

Describe the transformations of each function compared to the parent function.
down 9, vertically stretched by 2, reflection in the y-axis

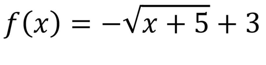
Describe the transformations of each function compared to the parent function.
up 3, left 5, reflection in the x-axis
The square root function is shifted 7 units left and 1 unit down, then reflected across the x-axis. Write an equation that represents this function.
f(x) = - √x+7 -1
The square root function has an endpoint located at (-2, 3) and reflected across the y-axis. Write an equation that represents this function.
√-(x+2) +3