 Call Kai
Call Kai Learn
Learn Practice Test
Practice Test Spaced Repetition
Spaced Repetition Match
Match1/9
Looks like no tags are added yet.
| Name | Mastery | Learn | Test | Matching | Spaced | 
|---|
No study sessions yet.
Completing the square
To add a term c to an expression of the form x2 + bx such that ax2 + bx + c is a perfect square trinomial.
Complex number
A number written in the form a + bi, where a and b are real numbers.
Discriminant
The expression b2 - 4ac in the Quadratic Formula.
Imaginary number
A number written in the form a + bi, where a and b are real numbers and b is not zero.
Imaginary unit, i
The square root of -1.
Pure imaginary number
A number written in the form a + bi, where a =0 and b is not zero.
Quadratic equation in one variable
An equation that can be written in the standard form ax2 + bx +c =0, where a, b, and c are real numbers and a is not zero.
Root of an equation
A solution of an equation.
Zero of a function
An x-value of a function f for which f(x) = 0.
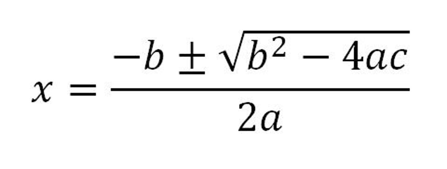
Quadratic Formula
x = -b ± √(b² - 4ac)/2a
