1/7
Looks like no tags are added yet.
Name | Mastery | Learn | Test | Matching | Spaced | Call with Kai |
|---|
No analytics yet
Send a link to your students to track their progress

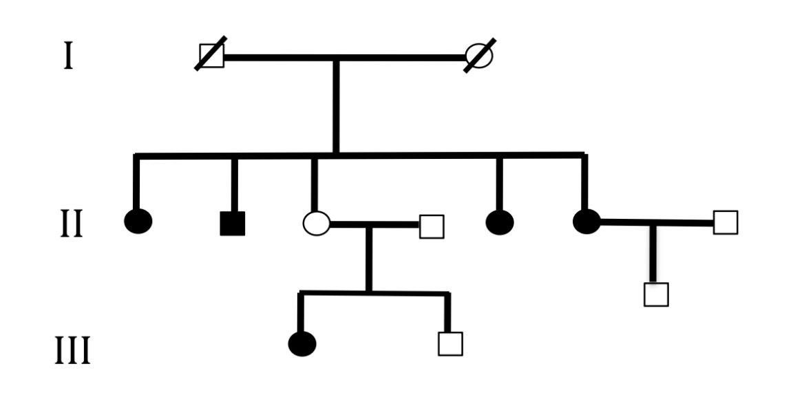
Maternal/Mitochondrial inheritance

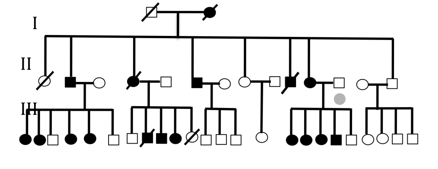
Autosomal dominant

autosomal recessive

Autosomal recessive

Autosomal dominant

X-linked recessive

X-linked dominant

Autosomal recessive