AP Calc AB: Unit 2 Derivative Rules

0.0(0)
studied byStudied by 3 people
0.0(0)
full-widthCall with Kai
GameKnowt Play
New
learnLearn
examPractice Test
spaced repetitionSpaced Repetition
heart puzzleMatch
flashcardsFlashcards
Card Sorting

1/14

encourage image

There's no tags or description

Looks like no tags are added yet.

Study Analytics
Name
Mastery
Learn
Test
Matching
Spaced

No study sessions yet.

15 Terms

1
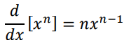
New cards

Power Rule [2.5]

knowt flashcard image
2
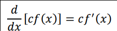
New cards

Constant Rule [2.6]

knowt flashcard image
3
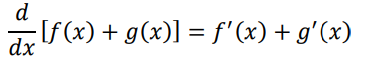
New cards

Sum Rule [2.6]

knowt flashcard image
4
New cards

Difference Rule [2.6]

knowt flashcard image
5
New cards

Constant Multiple Rule [2.6]

knowt flashcard image
6
New cards

Cosine Rule [2.7]

knowt flashcard image
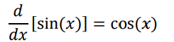
7
New cards

Sine Rule [2.7]

knowt flashcard image
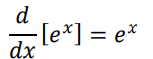
8
New cards

Exponential (base e) [2.7]

knowt flashcard image
9
New cards

Natural Logarithm [2.7]

knowt flashcard image
10
New cards

Product Rule [2.8]

knowt flashcard image
11
New cards

Quotient Rule [2.9]

knowt flashcard image
12
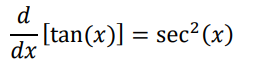
New cards

Tangent Rule [2.10]

knowt flashcard image
13
New cards

Cotangent Rule [2.10]

knowt flashcard image
14
New cards

Secant Rule [2.10]

knowt flashcard image
15
New cards

Cosecant Rule [2.10]

knowt flashcard image

Explore top flashcards

biopsychology
Updated 513d ago
flashcards Flashcards (26)
Philosophy Test #4
Updated 1065d ago
flashcards Flashcards (48)
13-14
Updated 582d ago
flashcards Flashcards (30)
Enzymes
Updated 1043d ago
flashcards Flashcards (42)
Cultural Study Guide
Updated 447d ago
flashcards Flashcards (163)
biopsychology
Updated 513d ago
flashcards Flashcards (26)
Philosophy Test #4
Updated 1065d ago
flashcards Flashcards (48)
13-14
Updated 582d ago
flashcards Flashcards (30)
Enzymes
Updated 1043d ago
flashcards Flashcards (42)
Cultural Study Guide
Updated 447d ago
flashcards Flashcards (163)