1/146
Looks like no tags are added yet.
Name | Mastery | Learn | Test | Matching | Spaced | Call with Kai |
|---|
No analytics yet
Send a link to your students to track their progress
Matter
Anything that takes up space and has mass.
Element
Substance that cannot be broken down to other substances through chemical reactions. Each has a symbol. 92 occurring in nature.

Compound
Substance consisting of two or more different elements combined in a fixed ratio.
*Characteristics different than those of its elements

CHON
4 elements essential to life
Trace Elements
Required by an organism only in minute quantities.
Atom
Smallest unit of matter that retains the properties of an element. Composed of subatomic particles. Mostly empty space.
Subatomic particles
Neutrons, protons, electrons. Make up atoms.
Proton
One unit of positive charge. Approximately one dalton. Located in nucleus.

Electron
One unit of negative charge. Located outside of nucleus.

Atomic Nucleus
Dense core packed with protons and neutrons.

Neutrons
Electrically neutral. Approximately one dalton.

Atomic Number
The number of protons (which is unique to that element) and written as a subscript to left of element symbol. Also tells us number of electrons since P=E if atom is neutral

Mass Number
Sum of the protons and the neutrons. An approximation of the atomic mass.

Isotopes
Same number of protons, but different number of neutrons and therefore different mass. Same element.

Radioactive Isotope
One in which the nucleus decays spontaneously, giving off particles and energy. Can decay to a different element. Have useful applications.

Energy
Capacity to cause change
Potential Energy
Energy matter possesses because of its location or structure. Electrons have this based on distance from nucleus.

Electron Shells
Where electrons are found, each with characteristic average distance and energy level. Electrons can change these by absorbing or losing energy.

Valence Electrons
Electrons in the outermost shell.

Chemical Bonds
The attraction that holds atoms together during an interaction.
Covalent Bond
Sharing of a pair of valence electrons by two atoms.

Molecule
Two or more atoms held together by covalent bonds.
Single Bond
One pair of shared electrons.
Structural Formula
H--H. Notation which represents both atoms and bonding.
Double Bond
Sharing two pairs of valence electrons.
Valence
Bonding capacity. Equal to the number of unpaired electrons required to complete the outermost (valence) shell.
Electronegativity
The attraction of a particular kind of atom for the electrons of a covalent bond.

Nonpolar Covalent Bond
Covalent bond in which electrons are shared equally.

Polar Covalent Bond
Where one atom is bonded to a more electronegative atom and the electrons of the bond are not shared equally.

Ionic Bonds
The attraction of cations and anions. The transfer of electrons creates ions which form an ionic bond.
Ion
A charged atom.
Cation
A positively charged atom.

Anion
A negatively charged atom.

Ionic Compounds
Or Salts. Compounds formed by ionic bonds.

Hydrogen Bond
When a hydrogen atom covalently bonded to an electronegative atom is also attracted to another electronegative atom.

van der Waals Interactions
Ever changing regions of positive and negative charge that enable all atoms and molecules to stick to one another.

Molecular Shape
Determines how biological molecules recognize and respond to one another.
Reactants
The starting materials of a chemical reaction.

Products
The resulting material of a chemical reaction.

Chemical Equilibrium
The point at which the relative concentrations of the products and the reactants stop changing and offset one another exactly.

organic chemistry
The study of carbon & hydrogen compounds (organic compounds).
carbon
this atom has 4 electrons in valence shell and can form 4 covalent bonds with other atoms

hydrocarbon
An organic molecule consisting only of carbon and hydrogen.

isomer
One of several compounds with the same molecular formula but different structures and therefore different properties. The three types are structural, geometric, and enantiomers.

structural isomer
One or several compounds that have the same molecular formula but differ in the covalent arrangement of their atoms. (DIFFERENT SHAPE)

geometric isomer
One of several compounds that have the same molecular formula and covalent bonds between atoms but differ in the spatial arrangements of their atoms owing to the inflexibility of double bonds (DIFFERENT ARRANGEMENT)

enantiomer
One or two compounds that are mirror images of each other and that differ in shape due to the presence of an asymmetric carbon. (MIRROR IMAGE)

estradiol
A steroid hormone that stimulates the development and maintenance of the female reproductive system and secondary sex characteristics; the major estrogen in mammals.

testosterone
Asteroid hormone required for development of the male reproductive system, spermatogenesis, and male secondary sex characteristics; the major androgen in mammals.

functional groups
A specific configuration of atoms commonly attached to the carbon skeletons of organic molecules and involved in chemical reactions.

hydroxyl group
A chemical group consisting of an oxygen atom joined to a hydrogen atom. Molecules possessing this group are soluble in water and are called alcohols.

ketone group
A chemical group consisting of a carbon double bonded to oxygen (must be in middle of chain)

ester group
A chemical group consisting of a carbon double bonded to oxygen and single bonded to another oxygen (must be in middler of chain)

aldehyde group
A chemical group consisting of a carbon double bonded to oxygen and single bonded to hydrogen (must be at end of chain)

carboxyl group
A chemical group consisting of a single carbon atom double-bonded to an oxygen atom and also bonded to a hydroxyl group

ionized carboxyl group
A chemical group consisting of a single carbon atom double-bonded to an oxygen atom and also bonded to a negatively charged oxygen

amino group
A chemical group consisting of a nitrogen atom bonded to two hydrogen atoms can act as a base in solution, accepting a hydrogen ion and acquiring a charge of 1⁺

sulfhydryl group
A chemical group consisting of a sulfur atom bonded to a hydrogen atom.

phosphate group
A chemical group consisting of a phosphate atom bonded to four oxygen atoms; important in energy transfer.

Carbohydrates, proteins, lipids, and nucleic acids
Name the 4 types of macromolecules

Metabolism
All the chemical conversions that occur within a cell
Metabolism = anabolism + catabolism

Catabolism
Conversion of complex organic molecules into smaller molecules by breaking chemical bonds

Anabolism
Conversion of small organic molecules by forming chemical bonds between smaller molecules

Hydrolysis
Pocess that is the reverse of dehydration synthesis. In __________, or water breakage, the bond between monomers is broken by the addition of a water molecule.

Dehydration synthesis
Reaction in which two molecules are covalently bonded, with the loss of a water molecule

Polymers
Long molecules consisting of many similar or identical building blocks linked by covalent bonds.

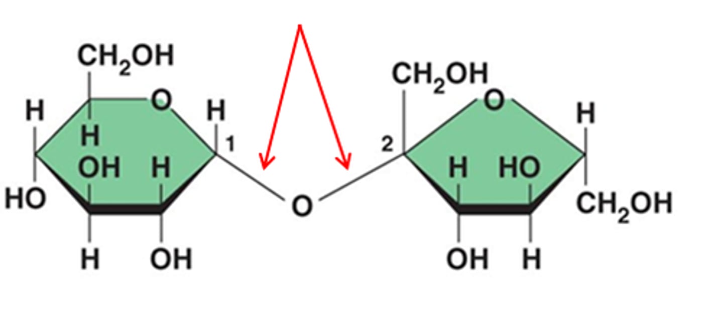
Glycosidic linkage
In carbohydrates, monosaccharides are joined together in a covalent bond called __________ _______.

Monosaccharides
Carbohydrates are made up of _______________.

Monosaccharide
The monomer in a carbohydrate is a(n) ______________.
EX: Glucose

Disaccharide
Two monosaccharides covalently bonded form a ____________.
EX: Sucrose

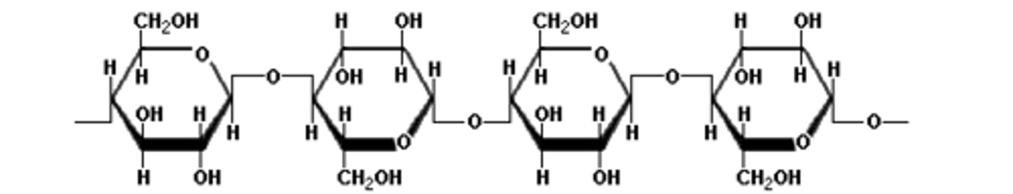
Polysaccharide
Three or more monosaccharides linked together form a ______________.

Glycosidic linkage
The bond in a carbohydrate is a(n) __________ _______.

Chitin; cellulose
Two examples of structural carbohydrates are ______ and _________.

Cellulose
Polymer of β glucose monomers that is found in plant cell walls

Glycogen; starch
Stored carbohydrate in an animal is called ________; in a plant, it is ______.

α glucose
Starch and glycogen are polymers of ________ molecules.

Polymers
Lipids are the only large biological molecules that do not form __________.

Lipids
Cushioning of organs, insulation, and energy storage are three functions of ___________.

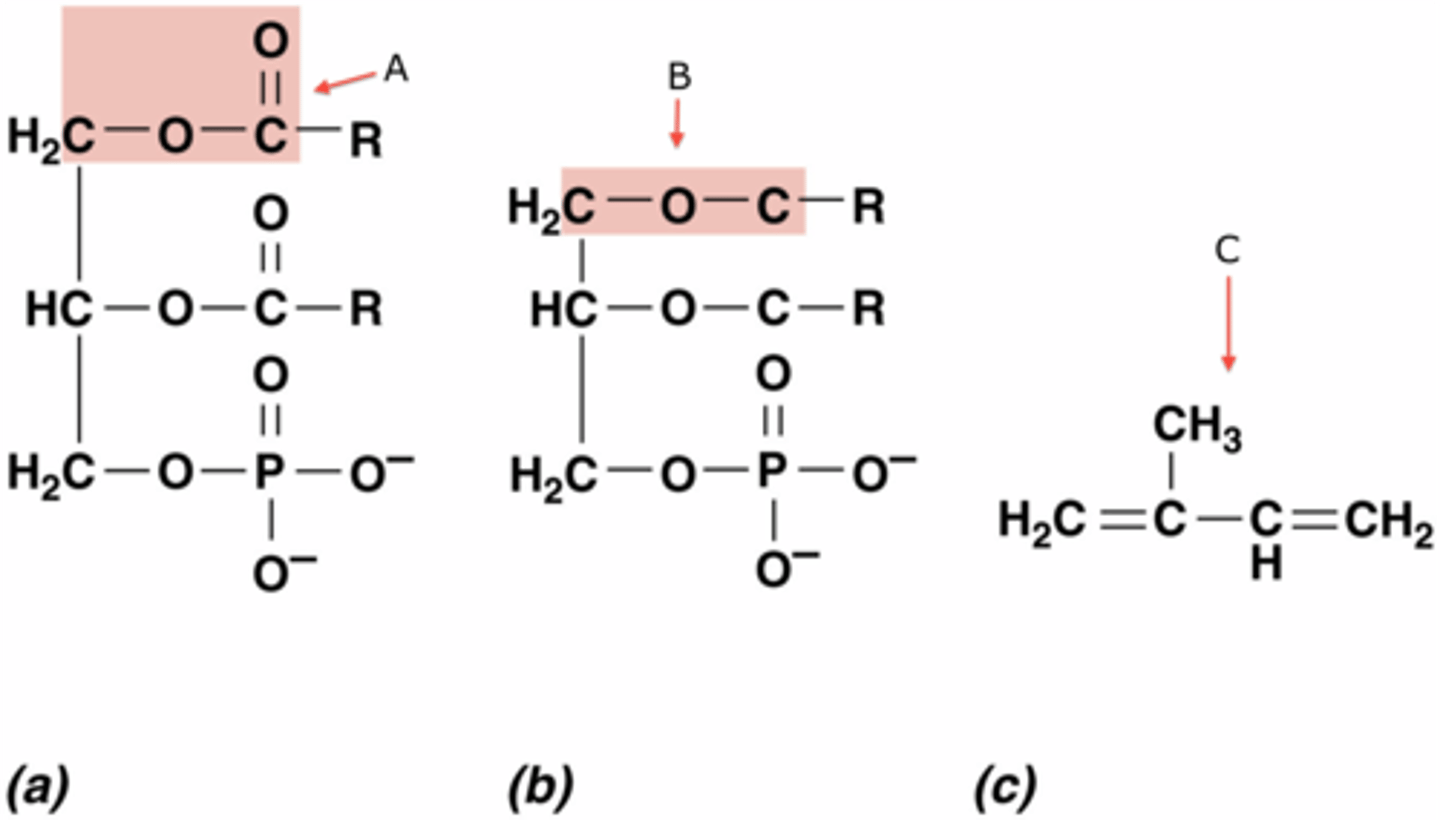
Glycerol; fatty acid chains
Triglyceride is composed of a ______ and three ____ _____ ______.

Unsaturated fats
Fats with one or more double covalent bonds, which is less likely to solidify and more flexible.

Phospholipid
Basic structural component of cell membranes, with a polar/hydrophilic head region and a nonpolar/hydrophobic tail region, giving membranes their selective permeability.

Steroid
Lipid characterized by a carbon skeleton consisting of hydrogen-fused rings.

HDL
Good cholesterol is called ___ ____________.
HINT: Keep your ____ HIGH :-)

LDL
The bad cholesterol, which can harden in arteries.
HINT: Keep your ____ LOW :-)

Ester linkage
In a triglyceride, the ---OH of glycerol loses a H and the ---COOH of the fatty acid chain loses a ---OH which joins to form water in a(n) _____ _______.

Amino acid
The monomer in a protein is a(n) _____ ____.

Amino; carboxyl; R
Amino acids are formed of a(n) _____ group with a(n) ________ group and a(n) _ group side chain.

20
# different amino acids which can assemble according to genetic code to make different proteins.

Peptide
In a _______ bond, the ---COOH group in one amino acid loses an ---OH and the ---NH2 group in another amino acid loses a H.

Polypeptide
The polymer in a protein is a(n) ___________.

3D structure
The amino acid sequence ultimately determine the __ _________ of proteins.

Structure
A protein's _________ determines its function.

Primary
At the _______ level of protein structure, a linear sequence of amino acids is joined by peptide bonds to form a polypeptide.

Secondary
At the _________ level of protein structure, hydrogen bonds form between the partial positive hydrogen atom of amine groups and the partial negative oxygen atom of carboxyl groups.

β Pleated Sheet
__ ___________ ______________ are a secondary structure found in proteins.

α Helix
___ ___________ are a secondary structure found in proteins.

Tertiary
At the ________ level of protein structure, various chemical associations in precise regions of a polypeptide cause it to fold into a 3D shape that will determine its function.

Quaternary
At the __________ level of protein structure, 2 to 4 completely formed polypeptides combine.

Sickle cell anemia
In this disease, one amino acid at the primary level (valine) replaces glutamic acid and the result is a distorted shape at the subsequent levels.

Hormonal
Insulin and glucagon are examples of _________ proteins.
