1/26
Looks like no tags are added yet.
Name | Mastery | Learn | Test | Matching | Spaced | Call with Kai |
|---|
No analytics yet
Send a link to your students to track their progress
what is the gamma term

what is the equation for time dilation

what is the equation for length contraction

what is the doppler effect for light

what is the loretnz equation for displacement

what is the lorentz equation for time

what is the time interval as seen by a different inertial frame

horizontal component in different inertial frame

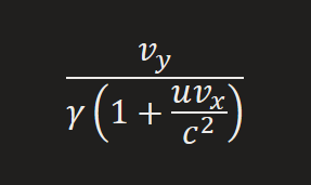
vertical component in different inertial frame

what is the equation for distance in space time

equation for distance in space time using dot product

how to find difference in time of observer

equation for energy

equation for momentum

relativistic equation for KE

equation for energy with momentum

equation for mass invariance

energy of a scattered particle

energy using wavelength

de broglie wavlength

how to normalise wavefunction
integrate wavefunction squared and set equal to 1
uncertainty with displacement and momentum

uncertainty with time and frequency

what is the position operator
x
what is the momentum operator

what is the total energy operator
where v = potential energy

what does a state of definite mean
operator function = true state