Nitrogenous Bases

0.0(0)
studied byStudied by 0 people
full-widthCall with Kai
GameKnowt Play
learnLearn
examPractice Test
spaced repetitionSpaced Repetition
heart puzzleMatch
flashcardsFlashcards
Card Sorting

1/6

encourage image

There's no tags or description

Looks like no tags are added yet.

Study Analytics
Name
Mastery
Learn
Test
Matching
Spaced

No study sessions yet.

7 Terms

1
New cards

Adenine

knowt flashcard image
2
New cards

Guanine

knowt flashcard image
3
New cards

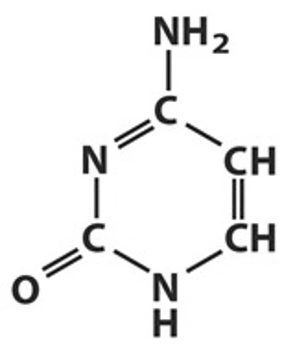
Cytosine

knowt flashcard image
4
New cards

Thymine (DNA)

knowt flashcard image
5
New cards

Uracil (RNA)

knowt flashcard image
6
New cards

Purines

nitrogeneous bases that have a double ring of carbon and nitrogen atoms such as adenine and guanine

7
New cards

Pyrimidines

nitrogenous bases that have a single ring of carbon and nitrogen atoms, such as cytosine, uracil, and thymine