1/47
Looks like no tags are added yet.
Name | Mastery | Learn | Test | Matching | Spaced | Call with Kai |
|---|
No analytics yet
Send a link to your students to track their progress
point
a location in space

line
You need 2 points to label this object.

plane
You need 3 points to label this object.

ray
a part of a line that starts at an endpoint and extends forever in one direction

line segment
part of a line with two endpoints

angle
formed by two rays with the same endpoint

Point A
Where do the 2 lines intersect?

Point C
Where do the line and place intersect?

Line AB
Where do the 2 planes intersect?

collinear
points that lie on the same line

coplanar
points that lie in the same plane

midpoint / midpoint formula
A point that divides a segment into two congruent segments

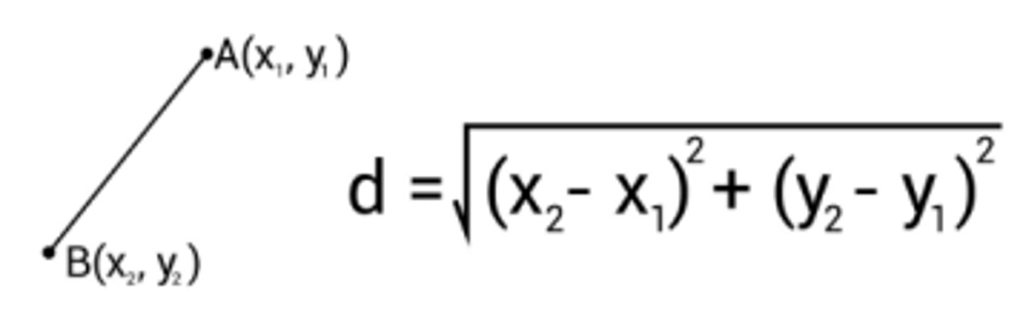
distance / distance formula
The length of a path between two points

linear pair
2 angles that form a line

supplementary angles
two angles whose measures add to 180 degrees

complementary angles
two angles whose measures add to 90 degrees

vertical angles
A pair of opposite congruent angles formed by intersecting lines

acute angle
an angle that measures less than 90 degrees

right angle
an angle that measures 90 degrees

obtuse angle
An angle that measures more than 90 degrees but less than 180 degrees

straight angle
an angle that measures 180 degrees

congruent
angles or line segments that have the same measure

segment addition
part + part = whole

angle addition
part + part = whole

alternate interior angles
equal / congruent

alternate exterior angles
equal / congruent

same-side interior angles
add to 180 degrees

corresponding angles
equal / congruent

parallel lines
lines that never cross

transversal
a line that intersects two or more lines

translation
"slide"

reflection
"flip"

rotation
"turn"

parallel lines
same slope

perpendicular lines
opposite reciprocal slopes

slope
rise / run

angles INSIDE triangles
add to 180

angles OUTSIDE triangles
outside angle = far angle + far angle

isosceles triangle
a triangle with 2 congruent sides and 2 congruent base angles

equilateral triangle
a triangle with 3 congruent sides and 3 congruent angles

CPCTC
Corresponding Parts of Congruent Triangles are Congruent

SSS
Side-Side-Side

SAS
Side-Angle-Side

AAS
Angle-Angle-Side

ASA
Angle-Side-Angle

HL
Hypotenuse-Leg

Triangle Inequality Theorem
Small Side + Medium Side > Big Side

Not studied (47)
You haven't studied these terms yet!