1/10
Looks like no tags are added yet.
Name | Mastery | Learn | Test | Matching | Spaced | Call with Kai |
|---|
No analytics yet
Send a link to your students to track their progress
Alanine (Ala, A)

Valine (Val, V)

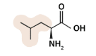
Leucine (Leu, L)

Isoleucine (Ile, I)

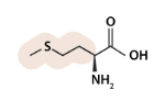
Methionine (Met, M)

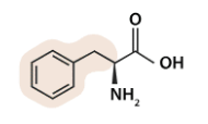
Phenylalanine (Phe, F)

Tryptophan (Trp, W)

Proline (Pro, P)

Glycine (Gly, G)

What is special about glycine?
not chiral due to having 2 hydrogens as R substituents
What is special about proline?
Has 2° amino group