1/105
Looks like no tags are added yet.
Name | Mastery | Learn | Test | Matching | Spaced | Call with Kai |
|---|
No analytics yet
Send a link to your students to track their progress
General Power Rule

d/dx (sin x)
cos x
d/dx (cos x)
-sin x
d/dx (tan x)
sec2x
d/dx (cot x)
-csc2x
d/dx (sec x)
secxtanx
d/dx (csc x)
-cscxcotx
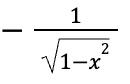
d/dx (arcsinx)

d/dx (arccosx)

d/dx (arctanx)

d/dx (arccotx)

d/dx (arcsecx)

d/dx (arccscx)

d/dx (af(x))
(af(x))(f’(x))(ln a)
d/dx (ex)
ex
d/dx (loga f(x))

d/dx (ln x)
1/x
Product Rule

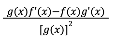
Quotient Rule

Chain Rule

Squeeze Theorem
If g(x)≤f(x)≤h(x) and if g(x) = L and h(x) = L then f(x) = L
Intermediate Value Theorem
If a function f is continuous on a closed interval [a,b], then f takes on every value between f(a) and f(b) on the interval [a,b].
Extreme Value Theorem
If a function is continuous on [a,b], then there is an absolute max and an absolute min on [a,b].
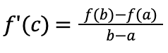
Mean Value Theorem
If a function is continuous and differentiable on [a,b], there is a point c in between a and b such that
![<p>If a function is continuous and differentiable on [a,b], there is a point c in between a and b such that</p>](https://knowt-user-attachments.s3.amazonaws.com/2928cf28-d0ea-4d7d-9395-9045b9f4fb9b.png)
Continuity
lim f(x)x→a exists
f(a) exists
lim f(x)x→a = f(a)
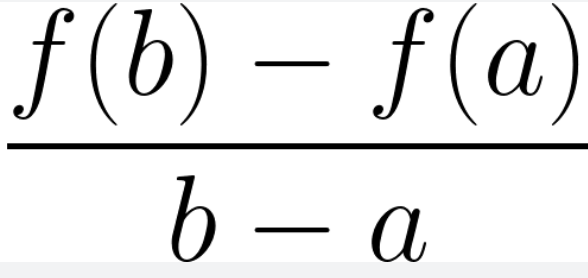
Average Rate of Change (AROC)
The average range at which a quantity changes over a given interval

Instantaneous Rate of Change
The exact or precise rate at which a quantity is changing at an instant or specific point

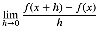
Limit of a Forward Difference Quotient

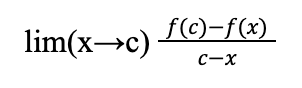
Limit of a Backwards Difference Quotient

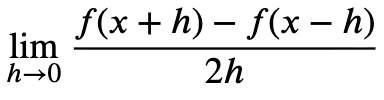
Limit of a Symmetric Difference Quotient

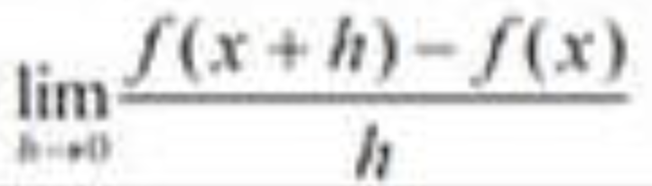
Limit at a Specific Point

Point-Slope Form
y-y1 = m(x-x1)
Normal Slope
Negative reciprocal of the tangent slope
Implicit Differentiation
Write dy/dx next to every y-variable & solve for dy/dx
Position
Original/Given Function
Velocity
f’(x) = rate of change of position (average velocity uses position)
Acceleration
f’’(x) = rate of change of velocity (average acceleration uses velocity)
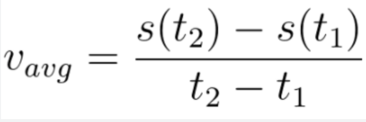
Average Velocity

L’Hôpital’s Rule
If limx→a f(x)/g(x) yields either of the indeterminate forms 0/0 or ± ∞/∞, then limx→a f(x)/g(x) = limx→a f’(x)/g’(x)
1/∞
0
e0
1
Critical Points
When f’(x) = 0 or f’(x) = DNE
Absolute Maximum
Highest y-value that occurs on a closed function
Absolute Minimum
Lowest y-value that occurs on a closed function
Rolle’s Theorem
If a function is continuous and differentiable on [a,b] and f(a) = f(b) then there exists at least one value, c, in (a,b) such that f’(c) = 0 (AROC = IROC)
Local Minimum
Where f’(x) changes from negative to positive
Local Maximum
Where f’(x) changes from positive to negative
Related Rates
Multiple variables changing at one time and they are related to each other. Always taken in terms of time (dx/dt)
First Derivative Test
Take f’(x) and set equal to zero and DNE values to find x-values of critical points
Put critical point x-values on a sign chart to find where the slope of f(x) is increasing/decreasing and where the local max/local min are
Second Derivative Test
Take f’’(x) and set equal to zero and DNE values
Put x-values of f’’(x) on sign chart to find concavity and points of inflection
Point of Inflection
A point where f’’(x) changes sign & halfway between local min and local max
When f’(x) is positive, then f(x) is
Increasing
When f’(x) is negative, then f(x) is
Decreasing
When f’’(x) is positive, then f(x) is
Concave up
When f’’(x) is negative, then f(x) is
Concave down
When f’’(x) is positive, then f’(x) is
Increasing
When f’’(x) is negative, then f’(x) is
Decreasing
When f’(x) is increasing, then f(x) is
Concave Up
When f’(x) is decreasing, then f(x) is
Concave down
Linearization
A method used to approximate a complex, nonlinear function or system with a straight line near a specific point. L(x) = f(a) + f’(a)(x-a)
Riemann Sums Definition
Method for approximating the total area under a curve by splitting the area up and finding the area of each section and then adding them together.
Trapezoidal Rule
(b-a)/n
One-Sided and Two-Sided Limits
If the limit is not given in a specific direction, then you must find the limit from both directions. If the limit from both directions is the same, then the limit exists.
Differentiability
A function’s ability to have a well-defined derivative (slope) at a given point, meaning the graph is smooth, continuous, and has no sharp corners or cusps.
ln 1
0
ln e
1
Graph of y = ln x

Graph of y = e^x

Volume of a Cone

Volume of a Cylinder

Area of an Equilateral Triangle

Reciprocal Identities
Sin θ = 1/csc θ
Cos θ = 1/sec θ
Tan θ = 1/cot θ
Quotient Identities
Tan θ = sin θ/cos θ
Cot θ = cos θ/sin θ
Pythagorean Identities
sin2θ + cos2θ = 1
1 + tan2θ = sec2θ
1 + cot2θ = csc2θ
Double-Angle Identities
Sin 2θ = 2sin(θ)cos(θ)
Sin2θ = 1 - cos2θ/2
Cos2θ = 1 + cos2θ/2
Equation of a Tangent Line
Need the slope of the tangent line (derivative) and one point (x,y)

Average Value of a Function

Fundamental Theorem of Calculus Part 1

Fundamental Theorem of Calculus Part 2

Speed
If velocity and acceleration have the same sign then the particle is speeding up. If velocity and acceleration have different signs then the particle is slowing down.
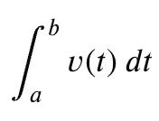
Displacement
The net change in object’s position, representing the straight-line and direction from start to finish.

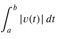
Total Distance Traveled

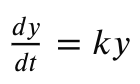
Law of Exponential Growth or Decay
The rate of change of a variable is directly proportional to its current amount.

Area Between Two Curves in Terms of f(x)

Area Between Two Curves in Terms of f(y)

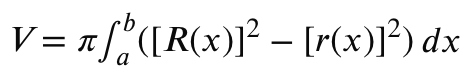
Washer Method

Cross-Sections Method - Square
Cross-Sections Method - Semicircle
Cross-Sections Method - Rectangles w/ Height n Times the Base
Cross-Sections Method - Equilateral Triangle
Cross-Sections Method - Isosceles Right Triangle w/ Hypotenuse Along the Base
Cross-Sections Method - Isosceles Right Triangle w/ Side Along the Base
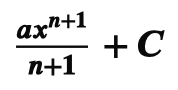
∫ax^n dx

∫ 0 dx
C
x ∫ dx
x(x+C)
∫ 1/x dx
ln |x| + C
∫ e^x dx
e^x + C
∫ ln x dx
x ln x - x + C
∫ cos x dx
sin x + C
∫ sin x dx
-cos x + C