1/20
Looks like no tags are added yet.
Name | Mastery | Learn | Test | Matching | Spaced | Call with Kai |
|---|
No study sessions yet.
Chapter 3
Chapter 3
What do a, d, L and n represent in arithmetic sequences?
a = first term
d = common difference
L = last term
n = number of terms
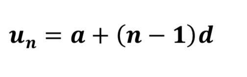
What is the nth term of an arithmetic sequence given by?
a + (n-1)d

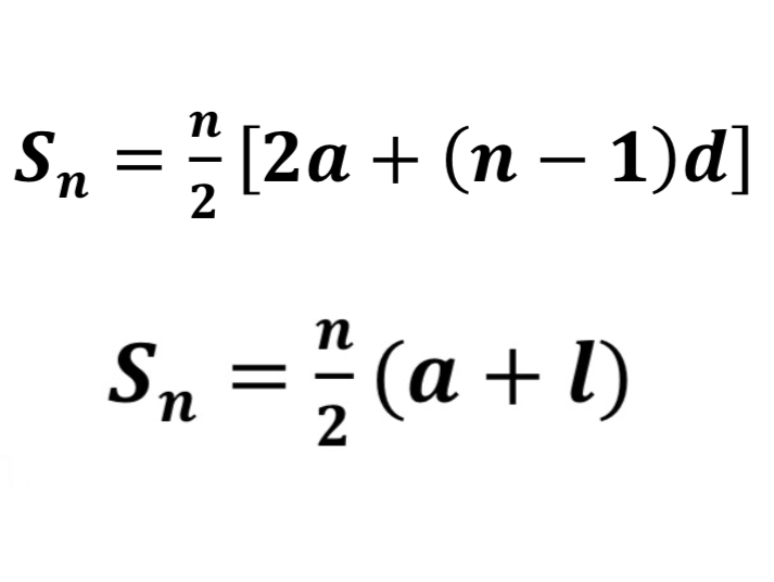
What are the two ways to find the sum of an arithmetic series?
When you don’t know the last term = n/2[2a+(n-1)d]
When you know the last term = n/2(a+l)
![<p>When you don’t know the last term = n/2[2a+(n-1)d]</p><p>When you know the last term = n/2(a+l)</p>](https://knowt-user-attachments.s3.amazonaws.com/2c871f32-ec44-44a7-874d-15e7c0d47206.png)
Proving the sum of an arithmetic series
List out Sn frontways
List out Sn backways
Add them together to get 2Sn
2Sn = n x (2a + (n-1)d)
Divide by 2 to get the formula.
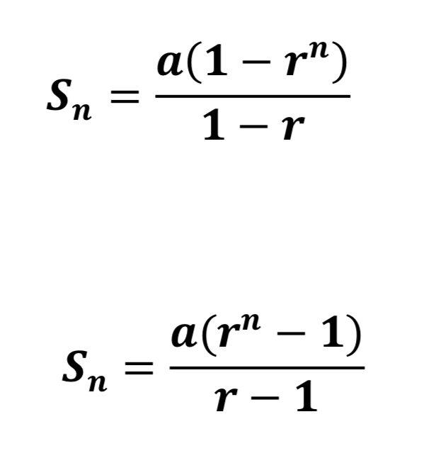
Proving the sum of a geometric series
List out Sn of a geometric sequence (a + ar + ar² +…ar^n-1)
List out rSn (multiply by r)
Sn - rSn = a - ar^n (take away rSn and show cancelling out)
Factorise both sides (taking out Sn and a) to get Sn(1 - r) = a(1 - r^n)
Rearrange by dividing by (1 - r)
What is the nth term of a geometric sequence?

What are the two ways to find the sum of a geometric series?


Sigma notation
Start with substituting the term at the bottom (1) and keep substituting higher and higher until you get to 5.

Chapter 4
Chapter 4

How would you start off a binomial expansion of this expression?
2(3+x)^-2 = 2 × 3^-2(1+x/3)^-2

Chapter 5
Chapter 5
Important properties of sin and cos
sinx = sin(π-x)
cosx = cos(2π-x)
Chapter 6 and 7 trigonometric functions/modelling
Pythagorean identities
1 + tan²x ≡ sec²x (derived from dividing the OG by cos²x)
1 + cot²x ≡ cosec²x (derived from dividing the OG by sin²x)
Addition formulae (these are in formula booklet)
sin(A+B) = sinAcosB + cosAsinB, sin(A-B) = sinAcosB - cosAsinB
cos(A+B) = cosAcosB - sinAsinB, cos(A-B) = cosAcosB + sinAsinB
tan(A+B) = tanA+tanB/1 - tanAtanB, tan(A-B) = tanA - tanB/1 + tanAtanB
Express additions of sin and cos in the form Rsin(x+a) and Rcos(x-a). Example: 3sinx + 4cosx
Set up by equating both parts of the question. 3sinx + 4cosx = Rsin(x+a)
Use addition formulae. Rsin(x+a) = Rsinxcosa + Rcosxsina = 3sinx + 4cosx
Compare the coefficients to find that 3 = Rcosa and 4 = Rsina
Square both parts, factorise and use the identity (or simply use pythagoras)
Divide Rsina and Rcosa by each other to find tana, then find a
Put found values of R and a back into the equation

Graphs of cosecx and sinx
Sinx: max/min at 1/2pi, 3/2pi…x-intercepts at pi, 2pi…
Cosecx: graphs start at 1 and -1 (on y axis) and these are also 1/2pi, 3/2pi on x axis. Pi, 2pi, etc are asymptotes.

Double angle formulae
sin2x = 2sinxcosx
cos2x = cos²x - sin²x = 2cos²x - 1 = 1 - 2sin²x
tan2x = 2tanx/1 - tan²x
Remember that these can go both ways.

Domain and range for key functions
y = x² (quadratic) → domain: any value, range: consider the turning point (min/max value)
y = 2^x, e^x, etc. → domain: any value, range: y > 0 (only positive)
y = ln(x) → domain: x > 0 (only positive), range: any value