1/46
Looks like no tags are added yet.
Name | Mastery | Learn | Test | Matching | Spaced |
|---|
No study sessions yet.
Two atoms are bonded together when valence electrons are shared between the two. The electrons spend more time circulating around the nucleus of the first atom than the second.
What type of bond is described above?
Polar Covalent
Non-polar Covalent
Ionic
Hydrogen
Polar Covalent

Select all that apply. A model of methane is shown below. Only the valence shell is shown for the carbon atom. Methane is ____.
an element
a substance made of elements
a molecule/compound (we haven't discussed the difference between these so that is why they are both listed here)
polar
a substance made of elements
and
a molecule/compound (we haven't discussed the difference between these so that is why they are both listed here)
Select all that apply. Which of the following describe situations where hydrogen bonding occurs?
complimentary base pairing between A and U in a molecule of RNA
formation of quaternary structure of hemoglobin
van der Waals interactions between a lipid molecule and a water molecule
formation of ice
complimentary base pairing between A and U in a molecule of RNA
and
formation of quaternary structure of hemoglobin
and
formation of ice

Methanol is a polar molecule like water and can also form hydrogen bonds. The structure of methanol is shown below. In methanol, a hydrogen is attached to the oxygen via _________
electrical attraction between the hydrogen of one methyl alcohol molecule and the oxygen of another methyl alcohol molecule
ionic bonds
sharing of electrons between adjacent oxygen molecules
electrical attraction between the hydrogens of adjacent methyl alcohol molecules
sharing of electrons between the hydrogen and the oxygen
sharing of electrons between the hydrogen and the oxygen
In a molecule of ammonia (NH3), the electrons spend more time around the nitrogen nucleus than the nuclei of the hydrogen atom.
What kind of bond?
polar covalent bond
hydrogen bond
A hydrogen in a purine is attracted to a partially negatively charged oxygen or nitrogen nucleus in a pyrimidine.
ionic bond
A potassium atom donates an electron to a fluorine atom.
nonpolar covalent bond
Electrons in molecular nitrogen (N2) spend equal time around the two nitrogen nuclei.
Select all that apply. Which of the following are examples of covalent bonds?
Van der Waals
Van der Waals
peptide bond
phosphodiester bond
hydrogen bonds
disulfide bonds
peptide bond
and
phosphodiester bond
and
disulfide bonds
A hypothesis ____________________.
is an explanation for how or why a natural phenomenon occurs.

Colony collapse disorder is an issue facing America’s honey bee population. It is not known exactly what causes the death of honey bees, but it is thought to be due to either one, or a combination, of three factors: insecticides building in the wax of the hive, mites, and/or a virus known as KBV.
A scientific experiment was designed to test the above possible causes and the data is found below.
Select all that apply. Which of the following plays a probable roll in the death of honey bees during colony collapse disorder?
KBV
Mites
Insecticides
KBV
and
Insecticides
A group of researchers noticed that students taking notes on their laptops did not perform as well on exams in class as compared to students taking notes by hand. These researchers wanted to determine how different ways of taking notes affects students ability to learn information. They set up the following experiment. They had two groups of students watch a TED talk lecture. One group took handwritten notes. The other group type their notes on a laptop. After they took their notes, the students performed a task to distract them. Then they took a test that ask them two types of questions about the lecture: 1) recall information and 2) connect concepts or apply concepts.
One of the researchers writes this statement as the hypothesis: "If students perform differently on exams, and researchers, force some students to use laptops to take notes, then the students using laptops will not score as high on an exam as those taking notes by hands."
Which of the following BEST explains why the statement is NOT a hypothesis?
The statement lacks an explanation for why students perform differently based on the type of note taking that they use.
The statement is missing a prediction for what will happen when students take an exam after taking notes with a laptop or by hand.
The statement doesn't include a description of the experiment that the researchers are going to conduct to test whether different ways of taking notes impacts their ability to learn information
The statement shows the researchers' bias against students that take notes using laptops.
The statement lacks an explanation for why students perform differently based on the type of note taking that they use.
A group of researchers noticed that students taking notes on their laptops did not perform as well on exams in class as compared to students taking notes by hand. These researchers wanted to determine how different ways of taking notes affects students ability to learn information. They set up the following experiment. They had two groups of students watch a TED talk lecture. One group took handwritten notes. The other group type their notes on a laptop. After they took their notes, the students performed a task to distract them. Then they took a test that ask them two types of questions about the lecture: 1) recall information and 2) connect concepts or apply concepts.
One of the researchers writes this statement as the hypothesis: "If students perform differently on exams, and researchers, force some students to use laptops to take notes, then the students using laptops will not score as high on an exam as those taking notes by hands."
Which of the following would be the best hypothesis for the experiment?
If amoebas eat more, then the temperature in their test chambers will increase.
If amoebas eat different amounts of bacteria, and biologists feed amoebas at different temperatures, then the amoebas growing at higher temperatures will eat the most bacteria.
If amoebas eat different amounts of bacteria, then the amount of bacteria amoebas eat at different temperatures can be measured.
If increasing environmental temperature speeds up biochemical reactions inside amoebas, and biologist count how many bacteria amoebas at different temperatures eat, then the amoebas at the highest temperature will eat the most bacteria.
If increasing environmental temperature speeds up biochemical reactions inside amoebas, and biologist count how many bacteria amoebas at different temperatures eat, then the amoebas at the highest temperature will eat the most bacteria.
A group of researchers noticed that students taking notes on their laptops did not perform as well on exams in class as compared to students taking notes by hand. These researchers wanted to determine how different ways of taking notes affects students ability to learn information. They set up the following experiment. They had two groups of students watch a TED talk lecture. One group took handwritten notes. The other group type their notes on a laptop. After they took their notes, the students performed a task to distract them. Then they took a test that ask them two types of questions about the lecture: 1) recall information and 2) connect concepts or apply concepts.
One of the researchers writes this statement as the hypothesis: "If students perform differently on exams, and researchers, force some students to use laptops to take notes, then the students using laptops will not score as high on an exam as those taking notes by hands."
Which of the following is the independent variable?
the amoebas growing at the temperature the same as the nearby pond
the amoebas growing at temperatures that are different from their nearby pond
the number of bacteria the amoebas ingested
temperature
type of water used
temperature
A group of researchers noticed that students taking notes on their laptops did not perform as well on exams in class as compared to students taking notes by hand. These researchers wanted to determine how different ways of taking notes affects students ability to learn information. They set up the following experiment. They had two groups of students watch a TED talk lecture. One group took handwritten notes. The other group type their notes on a laptop. After they took their notes, the students performed a task to distract them. Then they took a test that ask them two types of questions about the lecture: 1) recall information and 2) connect concepts or apply concepts.
One of the researchers writes this statement as the hypothesis: "If students perform differently on exams, and researchers, force some students to use laptops to take notes, then the students using laptops will not score as high on an exam as those taking notes by hands."
Which of the following is the dependent variable?the amoebas growing at the temperature that is the same as the nearby pond
the amoebas growing at temperatures that are different from their nearby pond
the number of bacteria the amoebas ingested
temperature
type of water used
the number of bacteria the amoebas ingested
A group of researchers noticed that students taking notes on their laptops did not perform as well on exams in class as compared to students taking notes by hand. These researchers wanted to determine how different ways of taking notes affects students ability to learn information. They set up the following experiment. They had two groups of students watch a TED talk lecture. One group took handwritten notes. The other group type their notes on a laptop. After they took their notes, the students performed a task to distract them. Then they took a test that ask them two types of questions about the lecture: 1) recall information and 2) connect concepts or apply concepts.
One of the researchers writes this statement as the hypothesis: "If students perform differently on exams, and researchers, force some students to use laptops to take notes, then the students using laptops will not score as high on an exam as those taking notes by hands."
Which of the following is the BEST control group?
the amoebas growing at the temperature that is the same as the nearby pond
the amoebas growing at temperatures that are different from their nearby pond
the number of bacteria the amoebas ingested
temperature
type of water used
the amoebas growing at the temperature that is the same as the nearby pond
A group of researchers noticed that students taking notes on their laptops did not perform as well on exams in class as compared to students taking notes by hand. These researchers wanted to determine how different ways of taking notes affects students ability to learn information. They set up the following experiment. They had two groups of students watch a TED talk lecture. One group took handwritten notes. The other group type their notes on a laptop. After they took their notes, the students performed a task to distract them. Then they took a test that ask them two types of questions about the lecture: 1) recall information and 2) connect concepts or apply concepts.
One of the researchers writes this statement as the hypothesis: "If students perform differently on exams, and researchers, force some students to use laptops to take notes, then the students using laptops will not score as high on an exam as those taking notes by hands."
Which of the following should NOT have been a constant?
the amount of time the amoebas were given to ingest bacteria
temperature
size of amoebas
type of water used
species of bacteria provided as food
temperature
Select all that apply. A red blood cell, which contains many solutes, is dropped into a beaker of pure distilled water, which has no solutes. This red blood cell _________________.
is hypertonic compared to the water
is hypotonic compared to the water
is isotonic compared to the water
will absorb water and swell up
will lose water and shrivel up
is hypertonic compared to the water
and
will absorb water and swell up

The potassium ion (K+) concentrations inside and outside of an artificial cell are shown below. This artificial cell is not permeable to potassium ions. Therefore, the NET movement of water is __________.
out of the cell
into the cell
there is no net movement of water in this situation
into the cell

You are examining a newly discovered organism that you found living in an extremely cold (10 degrees C) environment. You notice that its cellular membrane has 50% of its lipids as cholesterol molecules dispersed throughout the phospholipids. If you were to place this organism in an even colder environment (0 degrees C), what would you expect to see change in regard to cell membrane permeability to glycerol?
The membrane would become more permeable to glycerol.
The membrane would become less permeable to glycerol.
The membrane’s permeability to glycerol would not change.
None of the above describe a consequence of moving this organism to a colder environment.
The membrane would become less permeable to glycerol.
Which of the following explains why an egg yolk contains high levels of fat (a type of lipid)?
Fats contain long chains of carbon and hydrogen that provide structural support for the developing chicken embryo inside the egg.
Fats can carry out chemical reactions that are necessary for the development of the chicken embryo inside the egg.
Fats are a type of storage molecule that provide energy to the developing chicken embryo inside the egg.
Fats help with the movement of nutrients to the developing chicken embryo inside the egg.
Fats are a type of storage molecule that provide energy to the developing chicken embryo inside the egg.
Estuaries are locations where rivers flow into oceans, with tidal shifts changing the salt concentrations. Plants and animals that live in estuaries face a dilemma in maintaining water balance inside their cells. During high tide they are in salt water, while at low tide they are in fresh water.
During high tide, the cells in an animal would be at risk of ______________.
cell bursting by facilitated diffusion of salt
dehydration due to active transport of salts
dehydration by osmosis of water
cells bursting due to active transport of salts
cells bursting due to osmosis of water
dehydration by osmosis of water
Select all that apply. Olive oil is a type of lipid. Which of the following are NOT likely to dissolve in olive oil?
a polar molecule
a non-polar molecule
a hydrophilic molecule
a polar molecule
and
a hydrophilic molecule
Which of the following statements is not correct regarding active transport?
It is a passive process in which molecules move from a region of higher concentration to a region of lower concentration.
It requires integral proteins in the cell membrane.
It is an active process in which molecules move from a region of lower concentration to one of higher concentration.
It requires an expenditure of energy by the cell.
It is a passive process in which molecules move from a region of higher concentration to a region of lower concentration.
A bottle of perfume is opened at the front of the classroom. What has been created?
Brownian motion
a concentration gradient
a difference in membrane permeability
an opportunity for osmosis
a concentration gradient
Select all that apply. Phospholipids ________________.
have a polar head
have a nonpolar tail
make up the cell membranes of all living things
have three fatty acids
have a polar head
and
have a nonpolar tail
and
make up the cell membranes of all living things
A protein in the cell membrane pumps solutes outside of the cell, against their concentration gradient. If ATP is present, the outside of the cell will be _______ compared to the inside.
isotonic
hypertonic
hypotonic
hypertonic

How many saturated fats does the molecule below contain?
2
Which of the following statements is correct about diffusion?
It is a passive process in which molecules move from a region of higher concentration to a region of lower concentration.
It requires integral proteins in the cell membrane.
It is an active process in which molecules move from a region of lower concentration to one of higher concentration.
It requires an expenditure of energy by the cell.
It is a passive process in which molecules move from a region of higher concentration to a region of lower concentration.
Oxygen has an atomic number of 8 and a mass # of 16.
Oxygen has _ neutrons and _ valence electrons
8
and
6

How many valence electrons are there in a Boron atom?
3

How many electrons would the valence electron shell of a Boron (B) atom hold if you were to fill it completely?
8
Select all that apply. If several of the following molecule were joined together by covalent bonds, the resulting molecule would be ______.
an amino acid
a polypeptide
a nucleic acid
a protein
a polypeptide
and
a protein
Which of the following correctly lists all the components of a nucleotide?
a nitrogenous base, a side chain, and a central carbon
an amino group, a phosphate group, and a nitrogenous base
a nitrogenous base, an R-group, and a central carbon
a five-carbon sugar, a phosphate group, and a nitrogenous base
a five-carbon sugar, a phosphate group, and a nitrogenous base
Select all that apply. Which of the following are examples of protein function?
provide structural support for cells to help them maintain their shape
store energy for cells
help immune cells fight an infection
store genetic information
carries protein encoding information
provide structural support for cells to help them maintain their shape
and
help immune cells fight an infection
What type of bonds form between the monomers that make up carbohydrates?
Glycosidic bonds

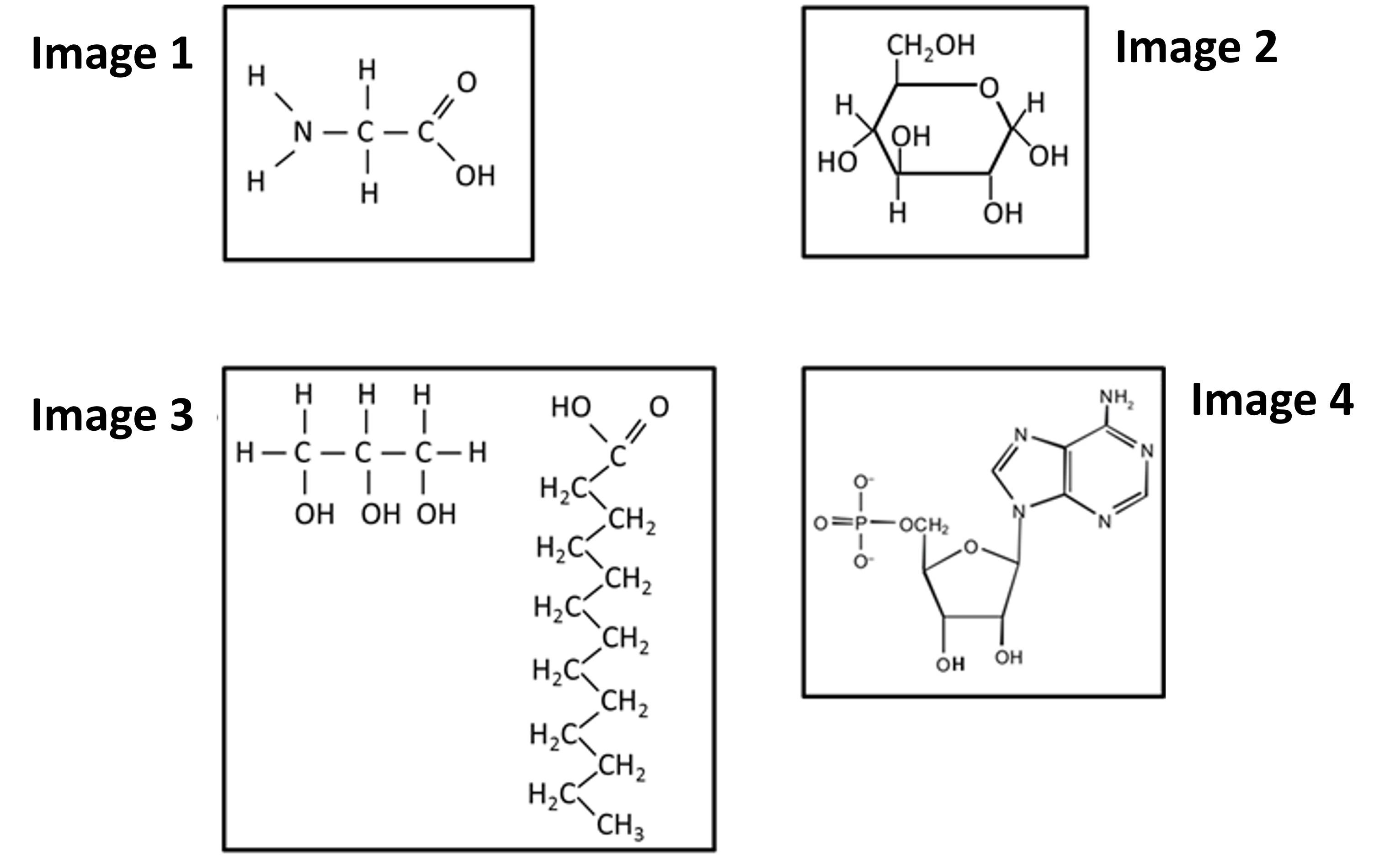
Which of the following depicts a monomer of nucleic acids?
Image 4
Which of the following types of bonds/interactions/forces are holding together a protein in its primary (1o) structure?
Covalent Bonds
Hydrogen bonds
Ionic Bonds
Hydrophobic forces
Covalent Bonds
double stranded
DNA only
Hydrogen bonds help stabilize secondary struture
Both DNA and RNA
contains the sugar ribose
RNA only
uses guanine
Both DNA and RNA
Uses thymine
DNA only
Which of the following statements is FALSE?
Proteins are chemically alternated when they are denatured
All amino acids contain a functional “R” group, and amino group, and a carboxyl group
All proteins have quaternary structure
Proteins are the most functionally diverse of the macromolecules
All proteins have quaternary structure
Select all that apply. Which of the following are examples of carbohydrate function?
Chitin forms a supportive exoskeleton for an insect.
Starch is a type of energy storage molecule found in plants.
Glycogen is a type of energy storage molecule found in fungi and in animals.
Sperm cells detect the surface of an egg based on the oligosaccharides attached to proteins embedded in the egg cell membrane.
collagen provides structural support that surrounds animal cells.
Chitin forms a supportive exoskeleton for an insect.
and
Starch is a type of energy storage molecule found in plants.
and
Glycogen is a type of energy storage molecule found in fungi and in animals.
and
Sperm cells detect the surface of an egg based on the oligosaccharides attached to proteins embedded in the egg cell membrane.
The following is the equation for ___________.
monomer + monomer → polymer + water
hydrolysis
dehydration synthesis
denaturation
saturation
dehydration synthesis
The alpha-helix structure of amino acids in a polypeptide chain is referred to as its ______ structure.
primary
secondary
tertiary
quaternary
secondary