1/24
Looks like no tags are added yet.
Name | Mastery | Learn | Test | Matching | Spaced | Call with Kai |
|---|
No analytics yet
Send a link to your students to track their progress
What is acceleration?
is the rate of change of velocity
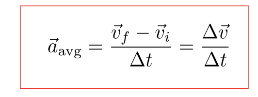
What is the equation of average acceleration when velocity changes over time?
units m/s2

Is acceleration a scalar or vector?
It is a vector because it has a magnitude and direction


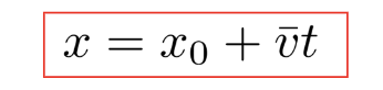
What equation do you use when finding final position when the knowns are starting, positon, average velocity, and time

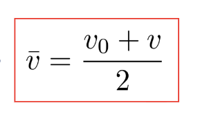
How do you find average velocity when acceleration is constant and you know initial and final velocity?



What happens when an object accelerates in the same direction as its velocity?
The object speeds up because acceleration adds to the velocity each time

What happens when an object accelerates in the opposite direction as its velocity?
The amount of acceleration subtracts from the velocity

What is deceleration?
It is when an object slows down or brakes








What equation do you use when you have to calculate for final velocity and acceleration and time are known
76


What equation do you use when finding final position but yours knowns are acceleration and time, initial position, and initial velocity



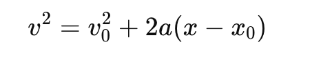
What equation do you use when finding velocity or position when time is not given?

What are the units?










