1/22
Looks like no tags are added yet.
Name | Mastery | Learn | Test | Matching | Spaced | Call with Kai |
|---|
No analytics yet
Send a link to your students to track their progress
What are the Disjunction Introduction rules?
Showing ϕ ∨ ψ by either showing ϕ or ψ

Use: ϕ / (ϕ ∨ ψ)
Given ϕ = “I have a pencil”, and ψ = “I have a pen”
And what natural deduction rule is this?
“I have a pencil” is sufficient to demonstrate “I have a pencil or a pen”
vI1 ← Disjunction Introduction 1
What is modus pones? And what natural deduction rule does this fall under?
The method of affirming
“If i know ϕ, and I know that ϕ implies ψ, then I can deduce ψ.”
Conditional Elimination

What is modus tollens? And what natural deduction rule does this fall under?
The method of denying
“If ϕ → ψ and ψ is not true, then ϕ is not true”
Conditional Elimination

Using Where ϕ = “I go to the supermarket” and ψ = “I buy milk”.
Give an example of modus pones
”If I go to the supermarket, I will buy milk. I went to the supermarket. Therefore, I bought milk.”
Using Where ϕ = “I go to the supermarket” and ψ = “I buy milk”.
Give an example of modus tollens
”If I go to the supermarket, I will buy milk. I did not buy milk. Therefore, I could not have gone to the supermarket.”
Using modus pones:
Argue: P → Q → R, P, Q ⊢ P ∧ R

What are the double negation rules?
Double negation can be eliminated and introduced

Give an example of double negation using “I am hungry”
“It is not true that I am not hungry” Implies that I am hungry
Use “⊥” in the negation rules to facilitate contradiction.
What does ⊥ mean?
⊥ means there is a contradiction.=
¬E → If we believe that a proposition is true and false, we have a contradiction.
⊥E → If we deduce a contradiction, we can conclude anything

Define conditional introduction
→ If we assume that ϕ holds, and we prove ψ, then we know ϕ implies ψ
→ The box denotes a subproof, ϕ is a local premise and ψ is a local conclusion.
→ “Let us say that ϕ, then from this we can conclude ψ”

Argue that Q ⊢ P → (Q ∧ P) using subproofs

Let us argue that: P → Q → R ⊢ (P ∧ Q) → R using conditional & conjunction

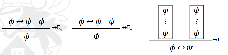
Define biconditional reasoning
→ Conceptually, biconditional ϕ ↔ ψ is equivalent to (ϕ → ψ) ∧ (ψ → ϕ)
→ ↔ Ei is the biconditional modus ponens law, but it is symmetric
→ We can introduce a biconditional with 2 subproofs.

Define negation introduction
→ If we assume that ϕ holds, and can deduce a contradiction ⊥, then ϕ is false.
→ Reduction and absurdum
→ The assumption ϕ leads to absurdity, so it cannot be true.

Define disjunction elimination
→ Proof by case analysis: we need to check for both cases of the disjunction.
→ We do not know which of ϕ or ψ holds.
→ If we know ϕ or ψ, and can derive χ from both, then χ is true.

Use disjunction elimination to show ¬D where L v R and L v R can be telling the truth or lying
“L ∨ R. If L is lying then ¬D. If R is lying then ¬D. Therefore, ¬D.”
Derive modus tollens

What are the 4 De Morgans laws

Show proof by contradiction as a natural reduction
Assuming ϕ is false leads to a contradiction, ϕ is true

Show middle exlcusion as a natural reduction rule
Every proposition ϕ is either true or false

Define Biconditional Modus Tollens (BMT)

Define Biconditional De Morgans
