1/72
Some is in formula sheet some is not
Name | Mastery | Learn | Test | Matching | Spaced | Call with Kai |
|---|
No analytics yet
Send a link to your students to track their progress
difference between rational and irrational numbers
rational numbers can be written in form a/b where a and b are integers, irrational numbers cannot
prove by contradiction that 21/2 is an irrational number

prove by contradiction that there are infinitely many prime numbers

types of mapping
one to one - a function
many to one - a function
one to many - not a function
graph of y = If(x)I
reflect any parts below x axis in x axis
graph of y = f(IxI)
remove any parts where x<0, reflect x>0 in y axis
formula for nth term in arithmetic

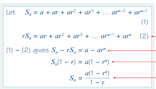
formula for Sn in arithmetic

proof of Sn in arithmetic sequence

formula for nth term in geometric

formula for Sn in geometric

proof for Sn in geometric

Sinfinity in geometric

convergent series
series where Sn gets closer and closer to a finite value (difference between terms decreases)
divergent series
series where difference between each term increases from term to term
sigma notation meaning
sum to n terms, starting from term r=1, following the rule next to it - uses an nth term rule

increasing sequence
if un+1 > un for all n
decreasing sequence
if un+1 < un for all n
periodic sequence
terms repeat in a cycle
order of a periodic sequence
the value of k such that un+k = un
recurrence relation
term to term rule
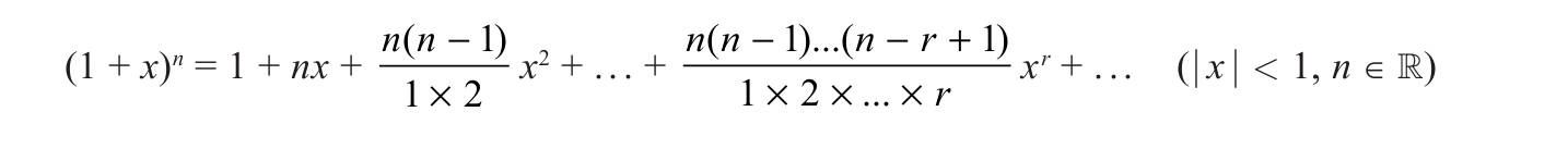
binomial expansion for negative or fractional values of n (infinite series obtained)

validity of binomal expansion for negative/fractional
(1 + x)n → IxI<1
(1 + bx)n → IbxI<1
(a + bx)n → Ibx/aI<1
validity of approximation based on binomial expansion
more valid when more terms of expansion are use
the values of x substituted in are closer to 0
360 =
2 pi rad
180 =
pi rad
arc length of sector using radians
l = rx
area of sector using radians
A = ½ r²x
area of segment using radians
A = ½ r² (x-sinx)
if x is small + radians, sin x =
x
if x is small + radians, tan x =
x
if x is small + radians, cos x =
1 - x²/2
sec x =
1/cos x
cosec x =
1/sin x
cot x =
1/tan x; cos x/sin x
sec x graph

cosec x graph

cot x graph

sec² x =
1 + tan²x
cosec² x =
1+ cot² x
arcsin x graph

arccos x graph

arctan x graph

sin2x =
2sinxcosx
cos2x =
cos²x-sin²x = 2cos²x - 1 = 1 - 2sin²x
tan 2x =
2tanx/1-tan²x
a sinx + b cos x =
R sin (x + c)
R sin c = b; R = (a² + b²)1/2
a cos x + b sin x =
R cos (x-c)
R cos c = a
R = (a² + b²)1/2
prove the derivative of sin x is cos x using first principles
similar proof for cos x → -sinx

dy/dx; y = sinkx
k coskx
dy/dx; y = coskx
-ksinkx
dy/dx; y = lnx
1/x
dy/dx; y = akx
akx k ln a
chain rule

product rule

quotient rule

dy/dx; y = tan kx
k sec² kx
dy/dx; y = cosec kx
-k cosec kx cot kx
dy/dx; y = sec kx
k sec kx tan kx
dy/dx; y = cot kx
-k cosec² kx
concave function on [a,b]
f’’ <= 0 for a < x < b
convex function on [a,b]
f’’ >= 0 for a < x < b
point of inflection in terms of f’’(x)
when f’’(x) changes sign - from concave to convex (points of inflection can be stationary but do not have to be)
change of sign method
if f (x) is continuous on [a,b] and f(a) and f(b) have opposite signs there will be at least one root in that interval
iteration method
f(x) = 0, rearrange to x = g(x) and use formula xn+1 = g(xn)
newton raphson method
xn+1 = xn - f(xn)/f’(xn)
integration by parts

area bounded by two curves

trapezium rule

trapezium rule + convex curve
overestimate as line connecting 2 endpoints above curve
trapezium rule + concave curve
underestimate as line connecting 2 endpoints is below curve
unit vector on z axis
k