1/10
Lectures 12-13
Name | Mastery | Learn | Test | Matching | Spaced | Call with Kai |
|---|
No study sessions yet.
Functional response - definition
The uptake of resources/prey from the environment by a consumer/ predator as a function of the resource concentration
Resource - definition
A substance or an object that is required by an organism for normal maintenance, growth, and reproduction
When a resource is used, its amount is reduced
Consumer-resource interaction (types)
Predation
Herbivory
Parasitism
Cannibalism
Prey and predator equations
f=aNP=mortality due to predator=prey uptake by predators

Functional response- definition
The uptake by one predator
Functional response- equations
In this case, F is a linear function of prey density

Holling Type II properties
F goes (0,0)
F increases monotonically with increasing prey density
Slope of F decreases with increasing prey density
F converges asymptotically to a maximum uptake
Holling type II graph
Parameters:
Umax, ks

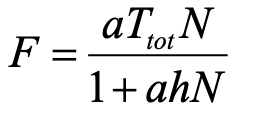
Time spent handling/searching equations

Holling Type II Functional Response

Assumptions for Holling Type II
Homogeneous Environment
Random prey and predation distribution and movement
Constant search rate
Constant handling time
No prey depletion
No effect of hunger