1/12
Föreläsning 1
Name | Mastery | Learn | Test | Matching | Spaced |
|---|
No study sessions yet.
Vad är linjär rörelse?
Rörelse längs en rak linje.
Hastighetsformlen och vad betyder symbolerna?
Hastighet (v) = Hur snabbt objektet rör sig [m/s].
Sträcka (s) = Hur långt ett objekt har rört sig [m].
Tid (t) = Hur länge i tidsenheter rörelsen pågår [sekund].
![<ul><li><p>Hastighet (v) = Hur snabbt objektet rör sig [m/s]. </p></li><li><p>Sträcka (s) = Hur långt ett objekt har rört sig [m].</p></li><li><p>Tid (t) = Hur länge i tidsenheter rörelsen pågår [sekund].</p></li></ul><p></p>](https://knowt-user-attachments.s3.amazonaws.com/b59b53bb-2811-4735-a8fd-03d18c248513.png)
Accelerations formeln och vad betyder symbolerna?
Acceleration (a) = Hur snabbt hastigheten förändrades över tid [m/s2].
delta hastighet (Δv) = Final hastighet (v2) - Initial hastighet (v1).
Hur snabbt objektet rör sig [m/s].
delta tid (Δt) = Sluttid (t2) - starttid (t1).
Hur länge i tidsenheter rörelsen pågår [sekund].
Om a > 0 → Objektet ökar farten.
Om a < 0 → Objektet bromsar (negativ acceleration).
![<ul><li><p>Acceleration (a) = Hur snabbt hastigheten förändrades över tid [m/s<sup>2</sup>].</p></li><li><p>delta hastighet (Δv) = Final hastighet (v<sub>2</sub>) - Initial hastighet (v<sub>1</sub>).</p><ul><li><p>Hur snabbt objektet rör sig [m/s].</p></li></ul></li><li><p>delta tid (Δt) = Sluttid (t<sub>2</sub>) - starttid (t<sub>1</sub>).</p><ul><li><p>Hur länge i tidsenheter rörelsen pågår [sekund].</p></li></ul></li></ul><p></p><ul><li><p>Om a > 0 → Objektet ökar farten.</p></li><li><p>Om a < 0 → Objektet bromsar (negativ acceleration). </p></li></ul><p></p>](https://knowt-user-attachments.s3.amazonaws.com/631ef7b7-5c37-45f8-8c82-d032685d3018.png)
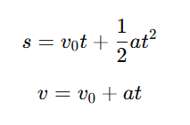
Rörelseformler (vid konstant acceleration) och vad betyder symbolerna?
Sträcka (s) = Hur långt ett objekt har rört sig [m].
Start hastigheten (v0) = Hur snabbt objektet rör sig [m/s].
Tid (t) = Tid (t) = Hur länge i tidsenheter rörelsen pågår [sekund].
Acceleration (a) = Hur snabbt hastigheten förändrades över tid [m/s2].
Hastighet (v) = Hur snabbt objektet rör sig [m/s].
![<ul><li><p>Sträcka (s) = Hur långt ett objekt har rört sig [m].</p></li><li><p>Start hastigheten (v<sub>0</sub>) = Hur snabbt objektet rör sig [m/s].</p></li><li><p>Tid (t) = Tid (t) = Hur länge i tidsenheter rörelsen pågår [sekund].</p></li><li><p>Acceleration (a) = Hur snabbt hastigheten förändrades över tid [m/s<sup>2</sup>].</p></li><li><p>Hastighet (v) = Hur snabbt objektet rör sig [m/s].</p></li></ul><p></p>](https://knowt-user-attachments.s3.amazonaws.com/27381425-1859-43c7-8bc3-f473433fa105.png)
Kraft grundlag (Newtons 2:a lag) och vad betyder symbolerna?
Kraft (F) [N].
Massa (m) = Materialets vikt [kg].
Acceleration (a) = Hur snabbt hastigheten förändrades [m/s2].
![<ul><li><p>Kraft (F) [N].</p></li><li><p>Massa (m) = Materialets vikt [kg].</p></li><li><p>Acceleration (a) = Hur snabbt hastigheten förändrades [m/s<sup>2</sup>].</p></li></ul><p></p>](https://knowt-user-attachments.s3.amazonaws.com/8a8d671e-2378-4886-88f8-737174642433.png)
Arbete formeln och vad betyder symboler?
Arbete uppstår när en kraft (F) förflyttar ett föremål en viss sträcka (s) i samma riktning som kraften verkar.
Arbete (W) = När en kraft förflyttar något en viss sträcka [Joule (J)].
Kraft (F).
Sträcka (s) = Hur långt ett objekt har rört sig [m].
Ex:
Du lyfter en låda upp 2 meter med kraft på 100 N.
W = 100 [N] * 2 [m] = 200 [J].
Det betyder att du har överfört 200 Joule energi till lådan (i form av lägesenergi)
![<p>Arbete uppstår när en kraft (F) förflyttar ett föremål en viss sträcka (s) i samma riktning som kraften verkar.</p><ul><li><p>Arbete (W) = När en kraft förflyttar något en viss sträcka [Joule (J)].</p></li><li><p>Kraft (F).</p></li><li><p>Sträcka (s) = Hur långt ett objekt har rört sig [m].</p></li></ul><p></p><p><strong>Ex:</strong> </p><ul><li><p>Du lyfter en låda upp 2 meter med kraft på 100 N. </p></li><li><p><span>W = 100 [N] * 2 [m] = 200 [J].</span></p></li><li><p><span>Det betyder att du har överfört 200 Joule energi till lådan (i form av lägesenergi)</span></p></li></ul><p></p>](https://knowt-user-attachments.s3.amazonaws.com/cfcd3cff-db8b-4331-834c-5eda2e2644a4.png)
Energi formel och vad betyder symbolerna?
Energi är förmågan att utföra arbete. Alltså när du har gjort ett arbete har du överfört energi.
Energi (E) = [Joule].
Ex:
Du lyfter en låda upp 2 meter med kraft på 100 N.
W = 100 [N] * 2 [m] = 200 [J].
E = W = 200 [J].
Det betyder att du har överfört 200 Joule energi till lådan (i form av lägesenergi).
![<p>Energi är förmågan att utföra arbete. Alltså när du har gjort ett arbete har du överfört energi.</p><ul><li><p>Energi (E) = [Joule].</p></li></ul><p></p><p><strong>Ex: </strong></p><ul><li><p>Du lyfter en låda upp 2 meter med kraft på 100 N. </p></li><li><p><span>W = 100 [N] * 2 [m] = 200 [J].</span></p></li><li><p><span>E = W = 200 [J].</span></p></li><li><p><span>Det betyder att du har överfört 200 Joule energi till lådan (i form av lägesenergi).</span></p></li></ul><p></p>](https://knowt-user-attachments.s3.amazonaws.com/a5c502e8-07d7-4eb9-8ab6-ce5b581aab1f.png)
Vilka typer av energiformer finns det?
Energi (E) = Arbete (W) = Joule (J).
Lägesenergi (Potentiell energi) = Energin du får när du lyfter (höjer) något.
Ju högre upp det är, desto mer energi har det lagrat.
Rörelseenergi (Kinetisk energi) = Energin något har när det rör sig.
Ju snabbare det går, desto mer energi har det.
Elenergi = Energin som uppstår när elektroner rör sig i en ledning.
Den driver våra lampor, motorer och datorer
Värmeenergi (termisk energi) = Energin som finns i värme.
Ju varmare något är, desto mer rör sig partiklarna inuti det.
Kemisk energi = Energi som finns lagrad i ämnen
Tex i batterier, mat, bensin.
Elastisk energi = Energin som lagras när du spänner en fjäder eller drar i det gummiband.
När du släpper det → Energin frigörs.
Kärnenergi = Energin som finns i atomkärnorna.
Frigörs vid kärnreaktioner (tex i solen eller i kärnkraftverk).

Vad är energiprincipen?
Energiformerna kan omvandlas mellan varandra, men den totala energin bevars:
Etot = Ep + Ek = Konstant.
Ex:
När du lyfter en låda → Du ger en lägesenergi.
När du släpper den → Lägesenergin omvandlas till rörelseenergi.
Energin “försvinner” inte, den byter bara form.
Effekt formeln och vad betyder symbolerna?
Effekt (P) = Beskriver hur snabbt arbetet utförs, alltså hur snabbt energi överförs [Watt (W) = Joule per sekund (J/s)].
En motor med hög effekt gör samma arbete på kortare tid.
Ex:
Du och en hissmotor lyfter samma vikt 2 meter upp.
Du tar 10 sek → Låg effekt.
Motorn tar 1 sek → Hög effekt.
Arbetet är lika (samma energi), men effekten skiljer sig.
![<ul><li><p>Effekt (P) = Beskriver hur snabbt arbetet utförs, alltså hur snabbt energi överförs [Watt (W) = Joule per sekund (J/s)].</p></li></ul><ul><li><p>En motor med hög effekt gör samma arbete på kortare tid. </p></li></ul><p></p><p><strong>Ex: </strong></p><ul><li><p>Du och en hissmotor lyfter samma vikt 2 meter upp.</p><ul><li><p>Du tar 10 sek → Låg effekt.</p></li><li><p>Motorn tar 1 sek → Hög effekt. </p></li></ul></li><li><p>Arbetet är lika (samma energi), men effekten skiljer sig. </p></li></ul><p></p>](https://knowt-user-attachments.s3.amazonaws.com/80c6fa67-1f9f-4155-b1b5-c15ea1bcb06e.png)
Vad betyder detta:
Kraft → Arbete → Energi → Effekt?
Kraften leder till arbete, vilket leder till energi och detta i sin tur leder till Effekt.
Kraft = Vad orsakar rörelse?
Allting börjar med en kraft verkar på ett föremål.
En kraft kan trycka, dra, lyfta, bromsa osv.
Kraften är orsaken till rörelse eller deformation.
Ex: Du trycker på lådan
Arbete = Vad händer när den rör sig?
Om kraften får föremålet att förflytta sig en sträcka (s), då utför du arbete.
Arbete är alltså kraft gånger rörelse (W = F * s).
Ex: Lådan flyttas, du gör arbete.
Energi = Vad överfördes till lågan?
Det arbete du utför övergår till energi i systemet (E = W)
Energi är förmåga att utföra arbete, du har alltså gett lådan energi (rörelseenergi).
Ex: Rörelseenergi.
Effekt = Hur snabbt gick det?
Slutligen kan du fråga: Hur snabbt utfördes arbetet?
Det är effekt, alltså hastigheten hos energiöverföringen.
En motor med hög effekt gör samma arbete på kortare tid.
Ex: Ju snabbare, desto större effekt.
Vridmoment formeln (Acceleration i rotation rörelse) och vad betyder symbolerna?
Vridmoment (kraftmoment) (M) = Hur starkt något vrids [Newtonmeter (N * m)].
Tröghetsmoment (massfördelning kring rotationsaxeln) (J) [kg * m2].
Vinkelacceleration (α) = Hur snabbt rotationshastigheten ändras [rad/s2].
Ju större moment (M), desto snabbare börjar något snurra.
Ju större tröghetsmoment (J) (dvs tyngre eller större kropp), desto svårare att sätta i rotation.
![<ul><li><p>Vridmoment (kraftmoment) (M) = Hur starkt något vrids [Newtonmeter (N * m)]. </p></li></ul><ul><li><p>Tröghetsmoment (massfördelning kring rotationsaxeln) (J) [kg * m<sup>2</sup>]. </p></li><li><p>Vinkelacceleration (α) = Hur snabbt rotationshastigheten ändras [rad/s<sup>2</sup>]. </p></li><li><p>Ju större moment (M), desto snabbare börjar något snurra. </p></li><li><p>Ju större tröghetsmoment (J) (dvs tyngre eller större kropp), desto svårare att sätta i rotation.</p></li></ul><p></p>](https://knowt-user-attachments.s3.amazonaws.com/db44942d-0571-4985-9663-765cd9836886.png)
Effekt formeln (hur snabbt rotationsenergi överförs) och vad betyder symbolerna?
Effekt (P) = Beskriver hur snabbt arbetet utförs, alltså hur snabbt energi överförs [Watt (W) = Joule per sekund (J/s)].
Vridmoment (M) = Hur starkt något vrids [Newtonmeter (N * m)].
Vinkelhastighet (ω) = Hur snabbt något snurrar [rad/s].
Ibland mäts rotationshastighet inte i radianer per sekund, utan i varv per minut (rpm). Sambandet gäller därför:
ω = 2π * n/60, där n är antal varv i minuter [rpm (varv/minut)].
![<ul><li><p>Effekt (P) = Beskriver hur snabbt arbetet utförs, alltså hur snabbt energi överförs [Watt (W) = Joule per sekund (J/s)].</p></li><li><p>Vridmoment (M) = Hur starkt något vrids [Newtonmeter (N * m)].</p></li><li><p>Vinkelhastighet (ω) = Hur snabbt något snurrar [rad/s]. </p><ul><li><p>Ibland mäts rotationshastighet inte i radianer per sekund, utan i varv per minut (rpm). Sambandet gäller därför:</p></li><li><p>ω = 2<span>π * n</span>/60, där n är antal varv i minuter [rpm (varv/minut)]. </p></li></ul></li></ul><p></p>](https://knowt-user-attachments.s3.amazonaws.com/183ef6c9-6d20-4325-9130-8848a6d1da11.png)