1/14
Looks like no tags are added yet.
Name | Mastery | Learn | Test | Matching | Spaced | Call with Kai |
|---|
No analytics yet
Send a link to your students to track their progress
general intro
-use magnetic fields to create electric fields that make currents flow (makes electricity!)

push or pull magnet
-moving magnet makes needle deflect… current flows both ways and increase I if move faster → magnetic field lines that create electricity

push or pull coil
-relative motion matters
-move or less magnetic field lines move through coil

open or close switch
-change/make magnetic field w/ other coil to induce a current
-coils close but not touching, if increase I can be further apart
-how get wireless electricity

magnetic flux
-measures the passage of a magnetic field through a surface
-unit: T * m²= Weber (Wb)
𝐵 = magnetic field strength in Tesla
𝐴 = cross − sectional area the field passes through (m²)
𝜃 = angle between the field direction and a line perpendicular to the surface (normal)
-Normal line perpendicular to surface
-If feta is 0 then=BA=max; if feta is 90 then=zero

Faraday’s law of induction
-a magnetic flux through a conducting loop that changes with time induces an emf (voltage) in the loop which drives current flow in a closed loop.
-Ways we can change:
Vary B with time
Vary A with time (the loop area that has flux through it)
Vary the angle between B and the normal to the surface of coil (*done most often bc most practical)
*change=final - initial; take absolute value both sides as only care about size of voltage; “N”=#loops

-if Bext is increasing….
-if Bext is decreasing….
-Bind is out, and Iind is CCW (so oppose and decrease)
-Bext is in, and Iind is out (oppose and increase w/ Bin; Bind point same direction Bext to try to increase it)

the Bind opposes the ____ in the _____
charge
external magentic field (Bext)
Lenz’s Law
-The direction of the induced current comes from: Lenz’s Law: An induced current seeks to oppose the change that creates it. (*2 m-fields: one that creates the induction, and another that comes from the induction itself=induce I)
-The induced current in a loop flows in the direction that induces a magnetic field that reinforces a decreasing external magnetic field (or decreasing flux) or opposes an increasing external field (or increasing flux).
-Induced B-field/Current RHR: thumb = Bind, fingers = current

AC generator
*AC=change direction w/ frequency

applications:
-wind turbines
-transformers
-turn coil inside M-field w/ wind to make electricity
-transform one voltage into another; coils same size but dif # of loops change V
1=primary coil; 2=secondary coil; same change in flux bc same size
large V bc travel long distance, need to decrease V at outlets in wall, and then charger also has transformers to decrease V; poles used to increase V bc wires have R

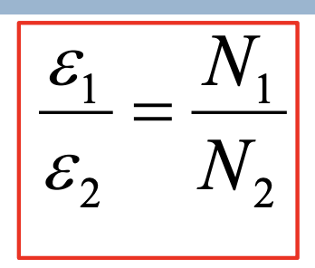
loop ratio
-Since the flux through the coils is the same get: (equation); The “loop ratio” gives the ratio of the EMFs
-Depending on the loop ratio, a transformer can be used to step-up or step-down a voltage
If E1 < E2 Step-up transformer (*increase V=step up)
If E1 > E2 Step-down transformer (*secondary coil decrease V= step down; ex=phone chargers)

Eddy currents
-Consider pulling a sheet of metal through a magnetic field.
-Two “whirlpools” of current begin to circulate in the solid metal, called eddy currents.
-The magnetic force on the eddy currents is a retarding force
-This is a form of magnetic braking (*feel M-field when pull it, even though not magnetic; ex use=high speed trains)

eddy current application: induction stove
-have a metal surface and magnet
-magnetic spins around and induces eddy current on metal surface so gets warm
-eddy current stops right away when turn off so cools quickly to

the Tesla Coil
-created high change in voltage so have large E-fields that drive currents to light up light bulbs
-Wardencylffe Tower: giant Tesla Coil that transmitss electricity large distances; but huge E-field would fry technology
