1/89
Looks like no tags are added yet.
Name | Mastery | Learn | Test | Matching | Spaced | Call with Kai |
|---|
No analytics yet
Send a link to your students to track their progress
Waarvoor zorgt de beweging van een lading?
voor een magnetisch veld
Wat gebeurt er als je een lading in een magnetisch veld beweegt?
er ontstaat een kracht
Hoe ziet de rechterhandregel eruit? (vingers, duim, palm)
vingers: B (magnetisch veld)
duim: v (snelheid)
palm: Fl (Lorentzkracht)
elke letter heeft een pijl boven hem (kon ik gewoon niet tekenen)
Waar staat Fl voor?
Lorentzkracht (in Newton)
Waar staat Q voor?
lading van het voorwerp (in Coulomb)
Waar staat v voor?
snelheid van het voorwerp (in meter/seconde)
Waar staat B voor?
grootte van magnetische inductie (in Tesla)
Waar staat θ voor?
hoek tussen vector v en vector B
Hoe kunnen we gemakkelijk geladen deeltjes laten bewegen?
elektrische stroom = stroom van elektronen
Waar staat l voor? (de letter L)
lengte van geleider in magnetisch veld (in meter)
Waar staat I voor? (de letter i)
stroomsterkte door geleider (in Ampère)
Waar staat B voor?
grootte magnetische inductie (in Tesla)
Waar staat α voor?
de hoek tussen I (i) en B (in graden)
Wat is magnetische flux?
de hoeveelheid veldlijnen die door een oppervlakte gaan
Wat is het symbool van magnetische flux + de eenheid?
φ (in Weber (Wb))
Waar staat φ voor?
magnetische flux (in Weber)
Waar staat A voor?
oppervlakte (in vierkante meter)
Waar staat B voor?
magnetische inductie (in Tesla)
Waar staat α voor?
de hoek tussen B en A (in graden)
Magnetische flux:
Stel:
α = 90°
Wat is φ?
φ = normaal
Magnetische flux:
Stel:
α = 45°
Wat is φ?
φ = kleiner
Magnetische flux:
Stel:
α = 0°
Wat is φ?
φ = 0
Magnetische flux:
Stel:
φ = normaal
Wat is α?
α = 90°
Magnetische flux:
Stel:
φ = kleiner
Wat is α?
α = 45°
Magnetische flux:
Stel:
φ = 0
Wat is α?
α = 0°
Wat doet een transformator?
Een transformator kan via inductie een wisselspanning van een bepaalde grootte omzetten in een wisselspanning van een andere grootte.
Waaruit bestaat een transformator?
uit 2 spoelen die in elkaars magnetisch veld zitten
Wat is de inductiewet van Faraday? (in woorden)
Als een magnetisch veld in een spoel verandert, wordt er een spanning opgewekt. Hoe sneller die verandering, hoe groter de spanning.
Wat is de inductiewet van Faraday (berekening)

Wat is de wet van Lenz?
De inductiestroom is steeds gericht dat deze de oorzaak van zijn ontstaan tegenwerkt.
Hoe kun je een wisselspanning omvormen?

Wat is een wisselspanning?
stopcontact
hoogspanning
elk elektrisch net
…

Wat is een gelijkspanning?
batterij

Teken de grafiek van een wisselspanning en van een gelijkspanning.

Waar staat Fg voor?
gravitatiekracht (in Newton)
Waar staat m1 voor?
massa van voorwerp 1 (in kg)
Waar staat m2 voor?
massa van voorwerp 2 (in kg)
Waar staat r voor?
afstand tussen de middelpunten van de massa’s
Waar staat G voor?
de universele gravitatieconstante
Wat is de universele gravitatieconstante (G)?

Waar staat Eg voor?
gravitatieveld
Duid aan: Hoe dichter bij de aarde, hoe hoger/lager het gravitatieveld is.
hoger
Duid aan: De planeet de aarde is een radiaal veld/homogeen veld.
radiaal veld
Duid aan: Op de aarde zelf (in bv. een stad) is er een radiaal veld/homogeen veld.
homogeen veld
Hoe komt men tot de conclusie dat 1u = 1,660566 ∙ 10-27 kg?

Wat is het massadefect?
Het massadefect is het verschil tussen de massa van een object en de som van de massa's van de samenstellende deeltjes.
Bv.:
massa 12C: 12u
massa samenstellende deeltjes 12C:
6 ∙ massa proton + 6 ∙ massa elektron + 6 ∙ massa neutron
= 6,043656u + 0,003294u + 6,05199u
= 12,0984u
12,0984u - 12u = 0,984u
Conclusie: massadefect van 12C = 0,984u
Wat is de formule van Einstein?
E = m ∙ c2
Waar staat E voor (in de formule van Einstein)?
specifieke rustenergie (de energie die een deeltje heeft door gewoon te bestaan)
Waar staat c voor?
de snelheid van licht in een vacuüm: 3,0 ∙ 108 m/s
Hoe weten we dat E = 1eV?

Hoe weten we wat ΔE is voor 1 unit?

Wat is de formule voor de algemene bindingsenergie en hoe komen we hierop?

Wat is de formule voor de specifieke bindingsenergie:?

Waar staat A voor in de formule van de specifieke bindingsenergie?
# protonen + # neutronen
Waar staat ΔE voor in de formule van de specifieke bindingsenergie?
bindingsenergie
Duid aan: Hoe groter de specifieke bindingsenergie, hoe minder stabiel/stabieler de kern.
stabieler
Geef een voorbeeld van een element met een zeer stabiele specifieke bindingsenergie.
ijzer (Fe)
Geef een voorbeeld van een element met een minder stabiele specifieke bindingsenergie.
waterstof (H) en helium (He)
Wat is radioactiviteit?
de metamorfose van een atoom (het vervallen van een onstabiele toestand naar een stabiele toestand) en het daarbijhorende uitzenden van ioniserende straling
Wat is ioniserende straling?
een vorm van straling met voldoende energie om elektronen uit atomen te verwijderen, waardoor ze worden geïoniseerd (positief geladen)
Welke soorten straling zijn er?
α-straling
β+ - straling
β- - straling
γ-straling
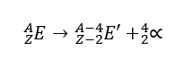
Kenmerken van α-straling:
uitzending α-deeltje ( = een heliumkern)
vaak bij zware kernen
transmutatieregel van Soddy:

Kenmerken van α-deeltjes:
= een He-kern
2 protonen en 2 neutronen
15 000 à 20 000 km/s
groot ioniserend vermogen
kan ons DNA kapotmaken
deeltjes in aangeslagen toestand brengen
kan veel schade aanrichten
laag doordringingsvermogen
botst bijna overal tegen
staat praktisch stil
Wat wordt er bij β-straling uitgezonden?
een deeltje met de massa van een elektron
Kenmerken van β+ - straling:
uitzending e+ ( = positron → omgekeerde van een elektron)
kern heeft te weinig neutronen voor stabiliteit
transmutatieregel van Soddy:

Kenmerken van β+ - deeltjes:
= een positron ( = het omgekeerde van een elektron → een positief geladen elektron)
250 000 km/s
massa: ~ α/8000
gemiddeld ioniserend vermogen
gemiddeld doordringingsvermogen
kan door papier
kan niet door aluminium (van enkele mm)
Kenmerken van β- - straling:
uitzending e-
gebeurt als de kern te veel neutronen heeft
transmutatieregel van Soddy:

Kenmerken van β- - deeltjes:
= een elektron
250 000 km/s
massa: ~ α/8000
gemiddeld ioniserend vermogen
gemiddeld doordringingsvermogen
kan door papier
kan niet door aluminium (van enkele mm)
Kenmerken γ-straling:
het kwijtraken van energie door een kern in aangeslagen toestand (de aangeslagen toestand wordt verkregen door α-verval en β-verval)
de energie die de kern dan kwijtgeraakt, zorgt voor γ-straling
transformatieregel van Soddy:

Kenmerken γ-deeltjes:
energie → foton
300 000 km/s (even snel als het licht)
laag ioniserend vermogen
hoog doordringingsvermogen
kan door papier
kan door aluminium (van enkele mm)
kan niet door lood van enkele cm
Wat zijn doeleinden van radioactieve deeltjes (β- en γ-deeltjes)? Geef 2 voorbeelden.
steriliseren van medische apparatuur
steriliseren van voedsel
Wat is de halveringstijd?
de tijd waarin de helft van de oorspronkelijk aanwezige radioactieve kernen vervallen
Wat is het symbool van halveringstijd?
T1/2
Wat is de formule van halfwaardetijd?

Teken kernfusie en kernfissie.

Wat is een synoniem van kernfissie?
kernsplijting
Wat is een synoniem van kernsplijting?
kernfissie
Wat is kernfissie?
het uit elkaar vallen van onstabiele kernen na impact van een neutron (hierbij komt energie vrij)

Hoe bereken je de energie die vrijkomt bij kernsplijting?
1) je berekent de massa van alle deeltjes voor de kernsplijting
2) je berekent de massa van alle deeltjes na de kernsplijting
3) je berekent het verschil tussen de 2 massa’s
4) je berekent ΔE
Wat gebeurt er met de energie die vrijkomt bij kernsplijting?
die wordt terug meegegeven aan de splijtingsproducten als kinetische energie
Welke types kernsplijting bestaan er?
gestimuleerde splijting en spontane splijting
Wat is gestimuleerde kernsplijting?
treedt op wanneer in een laboratorium, in een reactor of in een wapen atoomkernen worden beschoten met andere deeltjes zoals neutronen

Wat is spontane kernsplijting?
het natuurlijke proces waarbij de kern van een atoom uiteenvalt in twee kleinere kernen, zonder dat er een externe trigger, zoals een neutronenbotsing, nodig is
Wat zijn de voordelen van kernenergie?
hoeveelheid grondstof is laag
productie is zeer CO₂-laag
milieuvriendelijk
de grondstof is veilig te ontginnen
laten draaien van kerncentrale, energieproductie, elektriciteitsproductie = zeer goedkoop
Wat zijn de nadelen van kernenergie?
radioactief afval
zeer duur om te bouwen → beschermingsmateriaal tegen ioniserende straling
duur om af te breken
kans op oncontroleerbare kettingreacties
Wat is kernfusie?
atomen komen samen tot een andere, zwaardere kern (hier komt energie bij vrij)

Wat zijn de voordelen van kernfusie?
geen uitstoot van:
broeikasgassen
radioactief afval
grondstofvoorraad is oneindig
zeer grote opbrengst van energie
zeer veilig: geen kans op kettingreactie
Wat zijn de nadelen van kernfusie?
technisch zeer moeilijk
hoge bouwkost
er worden een paar radioactieve stoffen gemaakt door neutron
Wanneer kernfusie en wanneer kernfissie?
De natuur wilt alles zo stabiel mogelijk: grote ΔE/A
Wat kunnen kleine deeltjes (H, He, Li…) doen om een grote ΔE/A te krijgen?
samenvoegen om ΔE/A groter te maken → fusie
Wat kunnen grote kernen (U, Pu..) doen om een grote ΔE/A te krijgen?
splitsen om kleinere delen te maken → fissie
Element met grootste ΔE/A? → ijzer (Fe)
zie grafiek

Teken de werking van een kerncentrale.
