1/44
Looks like no tags are added yet.
Name | Mastery | Learn | Test | Matching | Spaced | Call with Kai |
|---|
No analytics yet
Send a link to your students to track their progress
Radius of an atom (roughly)
R = 1.25A^1/3 (R in femotpmeters = 10^-15m) (~0.2nm)
Describe strong force
Strength = 10^38
Range = 10^-15m
Glue that holds nucleons together to form a nucleus
Describe weak force
Strength = 10^33
Range = 10^-18
Plays role in beta decays and enables stellar fusion
Describe electromagnetic force
Strength = 10^36
Range = infinite
Acts between charged particles
Describe gravitational force
Strength = 1
Range = infinite
Acts on objects that have mass
Radioactivity activity equation
a(t) = a0 e^(-λT(half))
Half life log equation
ln(1/2) = -λT(half)
T(half) = 0.693/λ
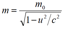
Rest mass equation

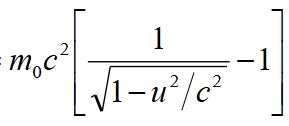
Relativistic kinetic energy

Define binding energy
Minimum work done against the holding forces in order to pull a nucleus apart into its constituent nucleons
In a closed system, its equal to the energy required to combine the nucleons into a nucleus
Binding energy equation

What is conserved in a reaction?
Nucleons, charge, momentum and energy
What energy is released and recoverable from different aspects during a U-235 fission?
Fission fragments - 168MeV/168
Beta rays - 8MeV/8
Gamma rays - 7MeV/7
Neutrinos - 12MeV/0
Prompt gamma rays - 7MeV/7
Fission neutrons - 5MeV/5
Capture gamma rays - 0MeV/3-12MeV
Total = 207MeV / 198-207MeV
Nuclear stability graph
