1/20
Looks like no tags are added yet.
Name | Mastery | Learn | Test | Matching | Spaced | Call with Kai |
|---|
No analytics yet
Send a link to your students to track their progress
Alkane

Alkene

Alkyne

Alcohol

Ether

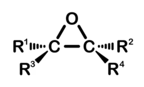
Epoxide

Haloalkane

Aldehyde

Ketone

Carboxylic Acid

Acid Anhydrane

Ester

Amide

Acyl Halide

Amine

Nitrile

Imine

Isocyanate
Azo Compound

Thiol

Arene
