1/9
Looks like no tags are added yet.
Name | Mastery | Learn | Test | Matching | Spaced | Call with Kai |
|---|
No analytics yet
Send a link to your students to track their progress

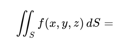
Surface integral of a scalar function
Graph surfaces like z=g(x,y)
parametrize using free variables
eg. r(x,y) = ⟨x,y,g(x,y)⟩
dS = _______
integrate: _______
3 formulas (depending on how u define variables for surface)
SA = remove ___
“f”


Surface integral of a scalar function
Case B: Surface given implicitly (not solvable for one variable)
General rule: _____
Sphere of x²+y²+z²=a²:
Cylinder of x²+y²=r²




2 ways to parametrize surfaces
if one variable is defined with other two variables (eg x=√(y²+z²)): make the other two variables __ and _
if not (eg. x²=y²+z²), parametrize _____
u, v
one side


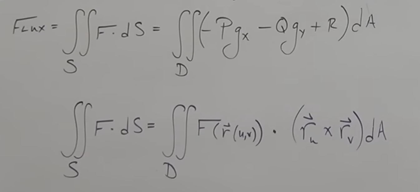
Flux Integrals / Surface Integrals of Vector Fields
For graph surfaces like z=g(x,y): F dot n = ______
orientation for normal is outward
if surfaces oriented in neg direction (downward, neg x or y direction): multiply negative 1 * normal vector
find integrand in terms of x&y
find region and integrate

PQR dot picture above
Flux if S is a simple closed surface (like sphere): divergence theorem


Flux Integrals / Surface Integrals of Vector Fields
For parametrically defined surfaces
for spheres
for cylinders



plane intercept form
x/a+y/b+z/c =1
Stoke’s theorem:
deals with line ∫ of simple closed curves over non-conservative vector fields ON ANY SURFACE

How to use stoke’s theorem
find ____
treat that as __ for a flux integral, find _ of surface and do dot product
find ___ and integrate
curlF, F, n, region
sphere volume
sphere SA
4/3πr³
4πr²