1/22
Name | Mastery | Learn | Test | Matching | Spaced | Call with Kai |
|---|
No analytics yet
Send a link to your students to track their progress
doel van lineaire regressie
verkrijgen van de best mogelijke voorspelling (conditionele verwachte waarde) van y gegeven de verklarende variabelen X1 ,,, Xp

wanneer spreken we van een enkelvoudige lineaire regressie
indien we maar één verklarende variabele X in het model gebruiken
lineaire regressie : descriptieve aanpak
regressielijn door datapunten (x1, y1) , (xn, yn) die het best bij deze observaties past
lineaire regressie : inferentiële aanpak
veronderstelling dat de Y gegenereerd wordt als een lineaire combinatie van X en een foutterm Y = alpha + betaX + e
assumptie 0 (enkelvoudige lineaire regressie)
we veronderstellen voor onze datageneratieproces dat Y = alpha + beta X + e
de functie die X en Y verbindt is dus een
→ lineair in de parameters (non-lineaire transformaties zijn ok)
assumptie A1 en A2 enkelvoudige lineaire regressie
modelspecificatie
Y is de afhankelijke variabele, X de verklarende variabele en e de foutterm
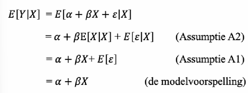
A1 : E[e] = 0
A2 : de foutterm is onafhankelijk van X (dus E[e!X] = E[e])
combinatie A1 + A2 = E[e!X] = 0
→ X biedt geen informatie over de foutterm
onder A0, A1 en A2 is E[Y!X] een lineaire functie van X (bewijs)
→ voorspelling van Y

de verticale afstand van Y tov de punten op de rechte E[Y!X] is
de foutterm e= y-(alpha +betaX)
hoe noemen we alpha
de constante term / het intercept
hoe noemen we beta
de richtingscoefficient / hellingscoefficient
→ als X met een eenheid toeneemt, dan zal Y gemiddeld gezien met beta eenheden toenemen
assumptie A3
over het verband tussen de verschillende realisaties van het datageneralisatieproces
e1, e n zijn onderling onafhankelijk en volgen eenzelfde verdeling (iid)
(mogen geen invloed hebben op elkaar)
wat is een residu
een geschatte foutterm
ri = yi - ^a -^b Xi
de fouttermen zelf zijn onobserveerbaar, maar we kunnen het schatten aan de hand van de geschatte parameters alpa en beta

hoe kunnen A0,1,2,3 worden aanzien voor het datagenearieproces DGP
als een model (lineaire regressiemodel)
→ hiermee heb je een model gemaakt
kleinste kwadratenschatter OLS
we kiezen âlpha ^beta zodat de som van de gekwadrateerde aftsand tussen de observaties en de regressielijn zo klein mogelijk is
→ RSS residuals sum of squares
OLS schatters zijn dus de waardes die de RSS minimaliseren

bepalen van alpha
zie formule

waaraan is de som van de OLS residueen exact gelijk
aan 0
(door eerste orde afgeleiden van alpha)
→ per constructie is aan assumptie A1 voldaan (enkel zo indien er een interecept is)
bepalen van beta en welke eigenschap komt hier naar buiten
orthogonaliteit van de OLS residueen tegenover de verklarende variabelen (deels assumptie A2)

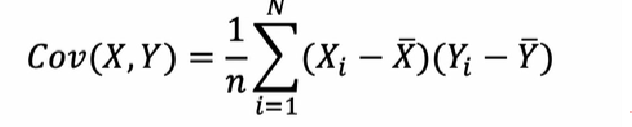
waaraan is beta gelijk (bij enkelvoudige regressie)
covariantie (X,Y) / Variantie (X)
is lineaire regressie symmetrisch
NEEEN
door het feit dat beta = covariantie van (X,Y) / Variantie (X)
wat is covariantie tussen X en Y
een maat voor de lineaire afhankelijkheid tussen twee kansvariabelen
meet in welke mate de ene variabele toeneemt/afneemt (bij pos/negatieve covariantie) als de andere variabele toeneemt
indien de covariantie gelijk is aan 0, impliceert dit lineaire onafhankelijkheid

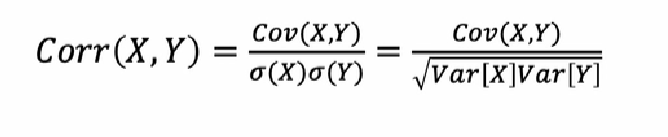
correlatie
gestandardiseerde maat voor de lineaire afhankelijkheid tussen twee kansvariabelen
door standardisatie is de meeteenheid interpreteerbaar
vaak symbool rho p

correlatie =! causaliteit
de aanwezigheid van correlatie tussen twee kansvariabelen X en Y duidt niet noodzakelijk op de aanwezigheid van een relatie tussen die kansvariabelen
wanneer zijn correlaties “spurious”
wanneer zij duiden op een lineaire afhankelijkheid tussen de variabelen, terwijl ze in feite onafhankelijk zijjn van elkaar