1/25
Looks like no tags are added yet.
Name | Mastery | Learn | Test | Matching | Spaced | Call with Kai |
|---|
No analytics yet
Send a link to your students to track their progress
Definition - Grenzwert:
∀∈⊂→⟹∃δε∞ξ⇔∩αβγ∘≈⋅λ❬❭∂
Es sei U ⊂ Rn offen, f : U ⊂ Rn → Rm eine Funktion und x* ∈ U.
Falls für jede beliebige Folge (xn)n∈N0 ⊂ U mit xn → x* ein (gemeinsames, “universelles”) y* ∈ Rm existiert (unabhängig von der betrachteten Folge), sodass gilt:

nennen wir y* den Grenzwert von f für xn gegen x* und schreiben:

Definition - Differenzierbar, Differential:

Lemma - Jacobi-Matrix:

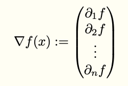
Definition - Gradienten:
Im Falle einer Funktion f : U ⊂ Rn → R fassen wir die partiellen Ableitungen oft auch im Gradienten zusammen:

Lemma - Differenzierbarkeit des Bildes:
∀∈⊂→⟹∃δε∞ξ⇔∩αβγ∘≈⋅λ❬❭∂
Es sei U ⊂ Rn offen, x ∈ U und f : U ⊂ Rn → Rm eine Funktion, und es bezeichne fi : U → R die i-te Komponente von f.
Dann ist f genau dann an der Stelle x ∈ U differenzierbar, wenn für alle 1 ≤ i ≤ m die i-te Komponente fi an der Stelle x differenzierbar ist.
In diesem Fall gilt für alle v ∈ Rn:

Definition - Richtungsableitung, partielle Ableitung:

Lemma - Partielle Ableitung = allgemeine Ableitung:

Theorem - f auf ganz U differenzierbar:
∀∈⊂→⟹∃δε∞ξ⇔∩αβγ∘≈⋅λ❬❭∂
Es sei U ⊂ Rn offen und f : U ⊂ Rn → Rm eine Funktion.
Falls für alle 1 ≤ i ≤ n die partiellen Ableitungen ∂i f auf ganz U existieren und stetige Funktionen sind, ist f auf ganz U differenzierbar.
Definition - Stetig differenzierbar:
Es sei U ⊂ Rn offen und f : U ⊂ Rn → Rm eine Funktion.
Falls alle partiellen Ableitungen fi, 1 ≤ I ≤ n existieren und stetig sind auf U, nennen wir f stetig differenzierbar und schreiben f ∈ C1(U, Rm) (falls m = 1 auch kurz f ∈ C1(U)).
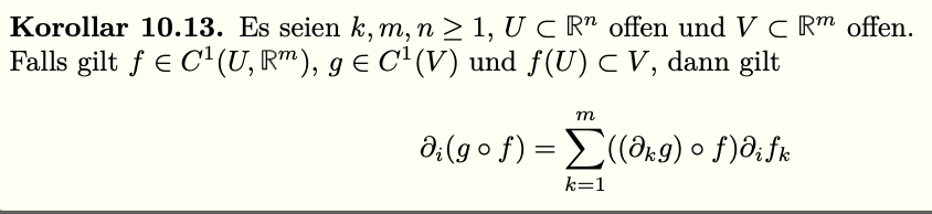
Theorem - Kettenregel:

Korollar - Kettenregel für einfach differenzierbare Funktionen:

Theorem - Mittelwertsatz:

Proposition - Mittelwertabschätzung:

Definition - k-fach stetig differenzierbar, glatte Funktionen:

Theorem - Satz von Schwarz:
Es sei U ⊂ Rn offen und f ∈ C2(U, Rm).
Dann gilt:

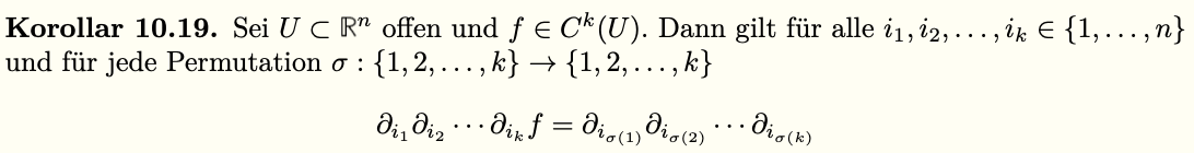
Korollar - Permutation:

Definition - Multiindex:

Theorem - Satz von Taylor:

Definition - Analytisch:

Theorem - Konvergenz einer Potenzreihe:

Korollar - f = g auf ganz U:
Es sei U ⊂ Rn eine zusammenhängende, offene Menge und f und g seien zwei analytische Funktionen f, g : U → R.
Falls ein Punkt x0 ∈ U existiert, sodass für jeden Multiindex α gilt:

gilt f = g auf ganz U.
Insbesondere müssen f und g auf ganz U übereinstimmen, wenn sie auf einer nichtleeren, offenen Teilmenge V ⊂ U übereinstimmen.
Definition - Kritischer Punkt:
Es sei U ⊂ Rn offen, f ∈ C1(U) und x0 ∈ U.
x0 ist ein kritischer Punkt, falls gilt:

Definition - Hesse-Matrix:

Proposition - Lokales Extremum:
Es sei U ⊂ Rn offen, f ∈ C1(U), und an der Stelle x0 liege ein lokales Extremum vor.
Dann gilt:

Definition - Eigenschaften einer symmetrischen Matrix:
Eine symmetrische Matrix M ∈ Rn x n heisst:
positiv definit, falls alle Eigenwerte positiv sind
negativ definit, falls alle Eigenwerte negativ sind
indefinit, falls M sowohl positive als auch negative Eigenwerte hat
degeneriert, falls null ein Eigenwert ist
Proposition - Kritischer Punkt mit Hesse-Matrix:
∀∈⊂→⟹∃δε∞ξ⇔∩αβγ∘≈⋅λ❬❭∂
→ Seite 288 im Skript
Es sei