1/32
Looks like no tags are added yet.
Name | Mastery | Learn | Test | Matching | Spaced | Call with Kai |
|---|
No analytics yet
Send a link to your students to track their progress

Norepinephrine (endogenous beta agonist)

Levalbuterol (SABA/ R isomer)

Albuterol (SABA/ S isomer)

Salmeterol (LABA)

*Phenyl-OCH3
Formoterol (LABA)

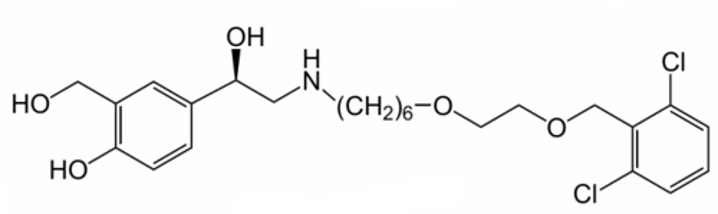
Vilanterol ( Ultra LABA)
Phenyl w/ chlorines

Olodaterol (Ultra-long Acting ß2 Agonists)
Main benzene ring attached to another ring
N substituent ends w/ benzene and ether

Indacaterol (Ultra-long Acting ß2 Agonists)
Benzene attached to another ring
N substituent ends with benzene and 2 CH3 group sticking out. Looks like a bug

Cortisone (prodrug of cortisol)
Oxygen on C11 and no double bond on C1

Cortisol (active form, endogenous agonist at GC & MC)

Aldosterone (endogenous MC agonist)
Ketone on 18

Prednisone (prodrug)
Looks like Cortisol but has double bond on C1
11 ketone converted to alcohol by 11ß-HSD to give prednisolone

Prednisolone (oral corticosteroid)

Methylprednisolone (Oral corticosteroid w/ higher GC activity)
6a-Methyl decreases mineralocorticoid activity, also increases glucocorticoid activity

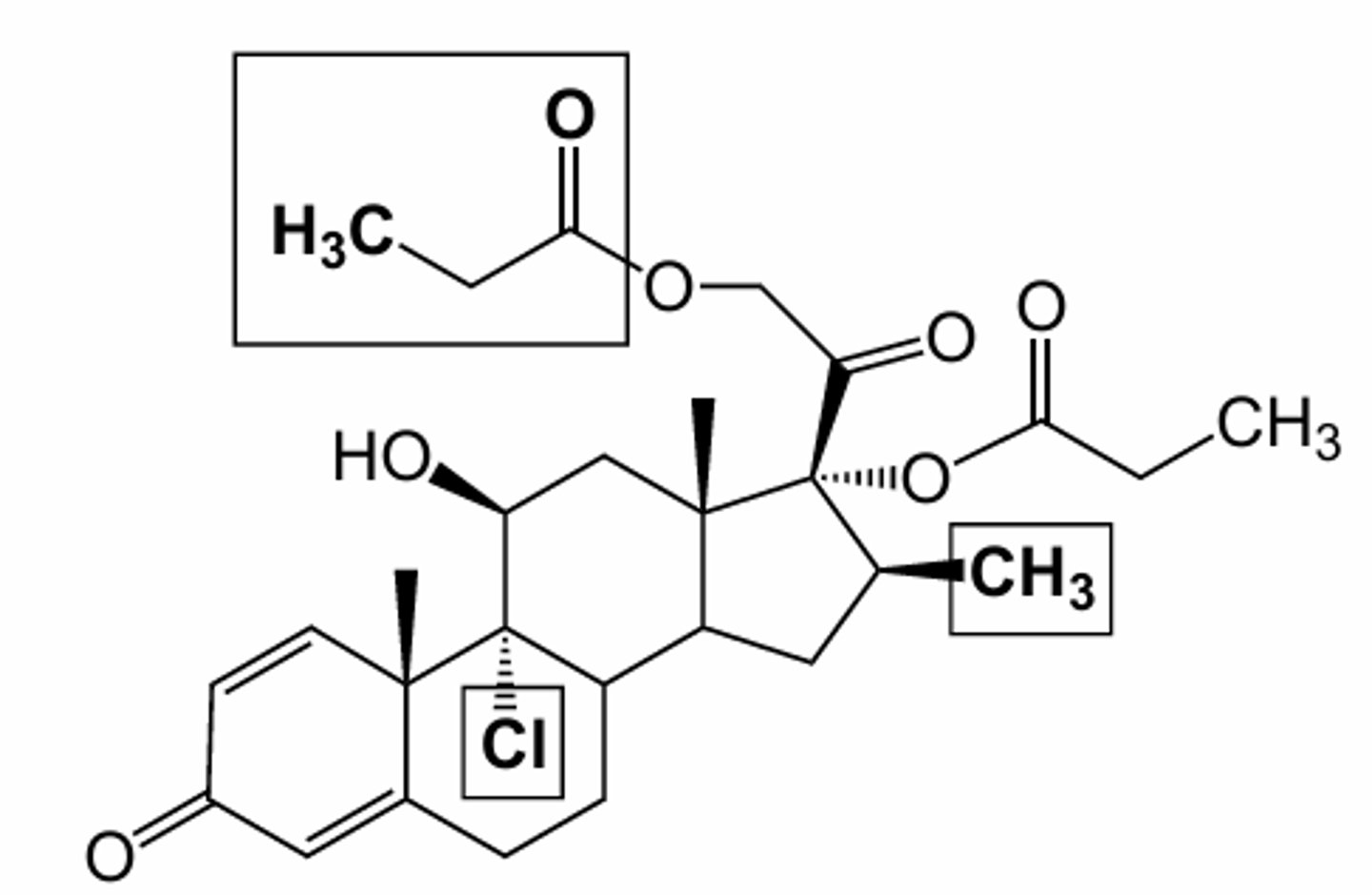
Beclomethasone diproproprionate (ICS, prodrug)
9a-Chloro increases both glucocorticoid and mineralocorticoid activity, 16ß-methyl decreases mineralocorticoid activity
-prefer high glucorcorticoid activity and low mineralocorticoid activity?

Fluticasone propionate (ICS)
9a-F increases both glucocorticoid and mineralocorticoid activity, 6a-F enhances only glucocorticoid activity

Fluticasone furoate (ICS)
9a-F increases both glucocorticoid and mineralocorticoid activity, 6a-F enhances only glucocorticoid activity

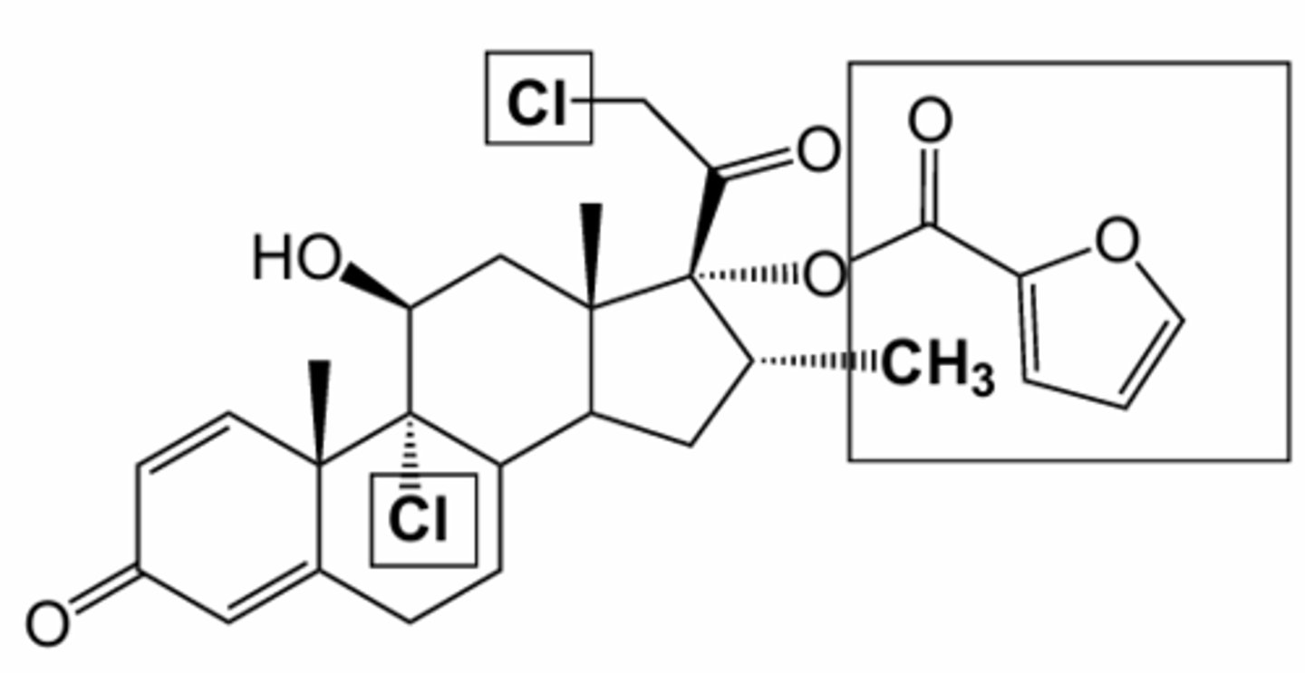
Mometasone furoate (ICS & Least systemic bioavailability of all ICS)
9a-Cl increases both glucocorticoid and mineralocorticoid activity, 16a-methyl decreases mineralocorticoid activity

Flunisolide (ICS - Acetonide)
6a-F increases glucocorticoid activity

Budesonide (ICS - Acetonide)

Ciclesonide (ICS - Ester & Acetal)

Acetylcholine (endogenous NT)

Ipratropium bromide (SAMA)

Tiotropium Bromide (LAMA)
Two sulfide rings

Umeclidinium bromide (LAMA)
replaced thienyl rings with phenyl rings

Aclidinium bromide (LAMA)
Rings has sulfide on it
Long N substituent

Glycopyrrolate (glycopyrronium bromide/ LAMA)

Revenefacin (LAMA)

Roflumilast (PDE4 inhibitor)
Triangle

Ensifentrine (PDE3 inhibitor)

Zileuton (Leukotriene modifier- Inhibits 5-lipoxygenase)
N-Hydroxyl group necessary for function

Montelukast (Leukotriene Receptor Antagonist)

Zafirlukast (Leukotriene Receptor Antagonist)