1/11
Looks like no tags are added yet.
Name | Mastery | Learn | Test | Matching | Spaced | Call with Kai |
|---|
No analytics yet
Send a link to your students to track their progress

What functional group is this?
an alkene

What functional group is this?
an alcohol

What functional group is this?
an ether

What functional group is this?
an amine

What functional group is this?
a thiol

What functional group is this?
an aldehyde

What functional group is this?
a ketone

What functional group is this?
a carboxylic acid

What functional group is this?
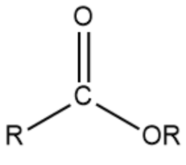
a carboxylic ester

What functional group is this?
an amide

What functional group is this?
a phosphoric ester
