1/21
Name | Mastery | Learn | Test | Matching | Spaced | Call with Kai |
|---|
No analytics yet
Send a link to your students to track their progress
Trig Functions of Special Angles

Trig Functions of Quadrantal Angles

Signs of Trig Functions

Special Right Triangles

Unit Circle

Reciprocal Identities

Quotient Identities

Pythagorean Identities

Even-Odd Identities

Sum and Difference Formulas

Double-Angle Formulas

Power-Reducing Formulas

Half-Angle Formulas
The ± symbol in each formula does not mean that there are two possible
values for each function. Instead, the ± indicates that you must determine
the sign of the trigonometric function, + or -, based on the quadrant in which
the half-angle a/2 lies.

Product-to-Sum Formulas

Sum-to-Product Formulas

Law of Sines

The Ambiguous Case (SSA)
h=bsinA
One Triangle: a>h & a≥b
One Right Triangle: a=h
No Triangle: a<h
Two Triangles: b>a>h

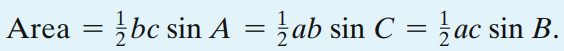
Area of an Oblique SAS Triangle

Law of Cosines Standard Form SAS

Law of Cos: Alternative Form SSS

Solving an SSS Triangle

Heron’s Formula for the Area of a Triangle
