1/205
we got this!
Name | Mastery | Learn | Test | Matching | Spaced | Call with Kai |
|---|
No analytics yet
Send a link to your students to track their progress

The name of the element with 12 electrons, 13 protons, and 14 neutrons is
Alumninum
Neutral Oxygen has a total of 8 electrons and can form a maximum of_________ bonds with other elements.
2
Which of the following is likely to be a polar bond?
C-O
When electrons are transferred from one atom to another, this is a(n)
ionic bond
Which of the following sets are LEAST likely to be attracted to each other?
two nonpolar molecules
Which of the following is NOT true about hydrogen bonding?
They are very strong true bonds that involve two or more metals
The subatomic particle most important for bonding is the
electron
Which of the following are properties of water that make it important for life?
Polar, neutral PH, good solvent
Many atoms are most stable when they have ___ electrons in their outermost shell.
8
The wing of a bat is used for flying, and the flipper of a dolphin is used for swimming. Evidence from the fossil record indicates that both structures were modified from a front limb that was used for walking in a pre-existing ancestor. This is an example of which core concept(s) in biology?
Structure determines function
A monomer contains the following components: a phosphate group, a 5-carbon sugar, and a nitrogen-containing base. Joining together multiple of these monomers into a polymer results in which of the following?
a nucleic acid
Which of the following best describes how amino acids are joined to form a polypeptide?
The monomers of proteins are amino acids, and these are linked by polar covalent bonds commonly referred to as peptide bonds.

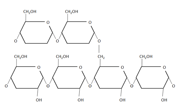
The polymer pictured below is made up of multiple monosaccharides. It falls into which of the following categories?
carbonhydrate
The cell theory states that
cells are the smallest units of living organisms, new cells come from pre-existing cells by cell division, all living things are composed of cells.
Which of the following is NOT one of the four stages that led to the origin of the first living cells?
the formation of organelles
Which of the following molecules or structures may be found in eukaryotic cells but not in bacteria?
nucleus
The most significant role played by pH buffers is to
increase the strength of acids and bases
A nucleotide is added to an existing polymer of DNA. This is
a dehydration synthesis reaction, where water comes out of the reaction
A functional group with one nitrogen atom and two hydrogen atoms is known as a(n):
amine or amino
Water molecules are formed from ________ bonds, meaning the elements share electrons unequally.
polar covalent
Which is the most likely pathway taken by a newly synthesized protein that will be secreted by a cell?
ER ->Golgi-> vesicles that fuse with plasma membrane
Which of the following structures will be found in nearly all eukaryotic cells?
mitochondria
A cell in a multicellular organism has an abundance of lysosomes. What is the likely function of this cell?
To help break down waste and foreign materials that have entered the cell
Which molecule or ion would you predict moves through a lipid bilayer most rapidly without the help of a transport protein?
CO2
Cells of the immune system, such as macrophages, can engulf and bring bacteria into the cell by
endocytosis
Which of the following are a part of the process of facilitated diffusion
movement of substances down a concentration gradient from high to low, requires a transport protein
How does the second law of thermodynamics help explain the diffusion of a substance across a membrane?
The diffusion of a substance is energetically favorable and increases entropy or disorder.
Reactions that release free energy and have a negative G are (select all that apply)
spontaneous, exergonic
Water held behind a dam would best reflect
potienal energy
Placing celery sticks in fresh water will make them more turgid and harder. This is because
the celery cells are hypertonic to fresh wate
The bag of sugar used in the demonstration in class was very stable. However, the cells in your body can rapidly break down sugar into carbon dioxide and water. What is the best explanation for this observation?
Enzymes in the cell catalyze the breakdown of glucose

The following question is based on the reaction shown above A + B --> C + D.
Which of the following represents the difference between the free-energy content of the reactants and the free-energy content of the products?
d
In the reaction B + A− → B− + A
molecule A is oxidized and molecule B is reduced.
What are the net products of glycolysis?
2 ATP, 2 NADH, 2 pyruvate
Which of the following statements describes the results of this reaction?
C6H12O6 + 6O2 → 6CO2 + 6H2O + energy
C6H12O6 is oxidized and O2 is reduced.
Where does the citric acid cycle occur in eukaryotic cells?
mitochondrial matrix
In the presence of oxygen, pyruvate can be catabolized in three steps by (1) losing a carbon, (2) being oxidized to form a two-carbon compound and (3) being covalently bound to coenzyme A. These steps result is the formation of
CO2, NADH, H+ and acetyl CoA
Most CO2 from catabolism is released during
the citric acid cycle
Which of the following metabolic pathways generates a proton gradient?
the electron transport chain
The immediate energy source that drives ATP synthesis by the ATP synthase during oxidative phosphorylation is the
H+ (proton) concentration gradient across the membrane where the ATP synthase is located.
What was the surprising finding from Griffith's work with mice and pneumonia-causing bacteria in 1928?
a heritable substance from heat killed pathogenic cells (S cells) transformed nonpathogenic (R cells) making them pathogenic and killed mice.
In analyzing the number of different bases in a DNA sample, which result would be consistent with the base-pairing rules?
A+G=C+T
What is meant by the description "antiparallel" regarding the strands that make up DNA?
The 5' to 3' direction of one strand runs counter to the 5' to 3' direction of the other strand.
Which of the following DNA sequences is complementary to 5' TAGAC 3'?
5' GTCTA 3'
The copying of the information in DNA is efficient because
Each strand of a DNA molecule carries complementary information and can be used as a template during replication
Which of the following unwinds the helix to provide a single-stranded template for DNA polymerase to be able to build a complementary strand?
helicase
Why is the lagging strand synthesized in a discontinuous fashion (multiple RNA primers and Okazaki fragments)?
DNA synthesis only occurs in a 5' to 3' direction, which causes lagging strand synthesis to “restart” as new 3’ regions of template DNA become available
Which of the following best describes the function of telomerase at the telomere?
It adds new DNA to the 3’ end of the template strand of DNA
What process allows a 30-nm fiber form of a chromosome to be further compacted, so that it fits inside the nucleus?
protein-DNA interactions that form loops in the chromosome
What would you predict for a gene that is located within a region ofheterochromatin?
this gene will not be transcribed into mRNA
Which of the following types of RNA is NOT produced in bacteria?
premrna
mRNA processing in eukaryotes (including 5' cap addition and splicing), occurs:
in the nucleus
What mRNA sequence will be transcribed from this DNA template:
3' - TTCGGACTA - 5'
5' - AAGCCUGAU - 3'
At the beginning of each round of Translation Elongation, what best describes tRNA in the A site?
The tRNA has a single amino acid attached
What are the stop codons?
UAA UAG UGA
A difference between bacterial and eukaryotic translation is
modifications to the 5’ end of mRNA are required for ribosome binding only in eukaryotes
A ribozyme is
an RNA that catalyzes a chemical reaction
Which of the following is not involved in the initiation of translation?
RNA polymerase
How many tRNAs will be used to translate this mRNA:
5’ CCGAAUAUGUUUCCCGAAUAACGAGGG 3’
NOTE: this is the entire mRNA sequence, from 5’ end to 3’ end.
4
Alternative splicing that results in "exon skipping" is possible because:
The 5' end of an intron can react with the 3' end of any other intron
To produce multiple proteins from a polycistronic mRNA, each translated region must have:
a ribosome binding site, a start codon, a stop codon
The lactose (lac) operon of E. coli is under both positive and negative control. How is the lac operon affected by positive control?
The CAP protein binds near the promoter in the presence of cAMP.
How is the lac operon affected by negative control?
The lac repressor binds to the operator in the absence of lactose.
If lacI were mutated such that the lac repressor could no longer bind DNA, what effect would this have on the regulation of the lac operon?
The repressor protein would not function properly, and the lac operon would be over expressed.
A common feature of all eukaryotic "core promoters" is:
a "TATA" sequence recognized by TFIID
Cell type-specific regulation of gene transcription typically requires:
Combinations of regulatory elements (enhancers and silencers) in the promoter region
The collagen gene is transcribed in fibroblast cells but is never transcribed in neurons. This differential transcription could be regulated by:
A transcription activator that is only expressed in fibroblasts and binds to an enhancer sequence in the collagen promoter
Chromatin remodelers can:
change the spacing between nucleosomes, so that more DNA is accessible to transcription factors
The mediator protein complex in eukaryotes
facilitates interactions between RNA polymerase II and regulatory transcription factors.
What type of regulatory transcription factor binds DNA and increases the transcription of a gene?
an activator exerting positive control
Which is the best definition of different alleles?
Different DNA sequences found at the same locus on homologous chromosomes.
How many alleles do diploid organisms have for each of their genes?
2
The observable traits expressed by an organism are described as its ________.
phenotype
A true-breeding plant with seeds in white pods is crossed to a true-breeding pea plant with seeds in orange pods. The offspring of this cross all have seeds found in orange pods. This indicates that (select all that are true):
orange and white are variants of the same gene., white is recessive,orange is dominant
A cross is made between a pea plant that is Pp and one that is pp, where P is a dominant allele for purple flowers and p is the recessive allele that cause white flowers. What percentage of offspring would you expect to have purple flowers?
50
An organism of genotype AaBb can make gametes of all the following kinds except:
Bb
Eyelash length is an inherited trait. In the human population, there is an eyelash length gene. There are two possible variants of this gene—an allele for long eyelashes (> 1cm) and an allele for short eyelashes (1 cm or less). The allele for long eyelashes is dominant ( L) and the allele for short eyelashes is recessive ( l). An individual who is heterozygous for eyelash length would have which of the following genotypes?
Ll
In dogs, there is a hereditary deafness caused by a recessive allele, d. A kennel owner has a male dog that she wants to use for breeding purposes if possible. The dog can hear, but the owner is unsure of the genotype. She does a testcross (crosses it to a homozygous recessive dog), and two of the five offspring are deaf. This means that the male dog
Has the genotype Dd
Which of the following would NOT be observed in a pedigree if a genetic disorder was inherited in a recessive manner?
Two affected parents have an unaffected offspring
What does the notation Dd represent?
one dominant and one recessive allele
An individual with ABO genotype of IAIB has a child with an individual with ABO genotype IAi. Which of the following ABO phenotypes would not be possible for this offspring?
Type O
A Barr body is
an inactive X chromosome
Which of the following is the best definition of epigentics?
Mechanisms that lead to changes in gene expression but do not change the DNA sequence, can be heritable and can be reversed
A cat with all black fur (genotype=XBXB) and a cat with all orange fur (genotype=XOY) have a litter of kittens, including an XX cat that is heterozygote for the gene that encodes orange/black fur color (genotype= XBXO). Which of the following would be true about this offspring?
It would have a mixture of orange and black fur, because in most mammals X chromosome inactivation happens randomly
The form of inheritance where the heterozygous state is expressed as an intermediate (e.g. red and white flowers make pink flowers) is known as __________________.
incomplete dominance
Hemophilia is an X-linked, recessive disorder. An XX individual with hemophilia (genotype Xh-AXh-A)and an XY individual without hemophilia have one child. What is the likelihood that this child is an XY individual with hemophilia?
50
The dideoxy chain termination method of DNA sequencing uses what enzyme?
DNA polymerase
Compared to the first human genome sequences obtained in the early 2000s, sequencing human genomes today is much faster and much cheaper because of:
Technology that allows more than 100 million DNA sequences to be "read" at the same time
The CRISPR system naturally exists where (i.e. where was it first discovered)?
In bacteria - it functions as an anti-viral defense against bacteriophages
Which of the following is not a step of the CRISPR/Cas-based treatment for sickle cell anemia?
Clone the mutant beta-globin gene into a plasmid and use bacterial enzymes to correct the mutation
What would happen if only didexyoribonucleotides were used in sequencing (instead of a mixture of dexyriboclueotides (regular dNTPs) and didexyribonucleotides (ddNTPs)?
DNA synthesis would always stop after adding the first nucleotides to the primer
The dideoxy chain termination sequencing method uses what enzyme?
DNA polymerase
CRISPR/Cas based genomeediting involves what normal process in a cell?
The pathways that repair double-stranded breaks
Which of the following is not a step of the CRISPR based treatment for sickle cel anime?
Deliver a SgRNA (single guide RNA) into the stem cells being modified.
The discovery that there are homologous Hox genes in nearly all animals suggest that
The last common ancestor of all animals used Hox genes to pattern its body
The CRISPR system naturally exists as
a vacterial defense aganist bacteriophage infection
A Cell that remain unspecialized can reproduce itself indefinitely and if included can differetiate into a specialized or differentiated cell is known as a
stem cellA
stem cell that can give rise to any type of cell of an embryo and produce extraembyonic tissue such as the amnion is called
totipotentWh
Which of the following describes a body axis displaued by Arabidopsis thaliana a popular plant model system?
root shoot
Which of the following is NOT a benefical characteristic of developmental model organisms?
long life span