1/17
this only contains various formulas
Name | Mastery | Learn | Test | Matching | Spaced | Call with Kai |
|---|
No analytics yet
Send a link to your students to track their progress
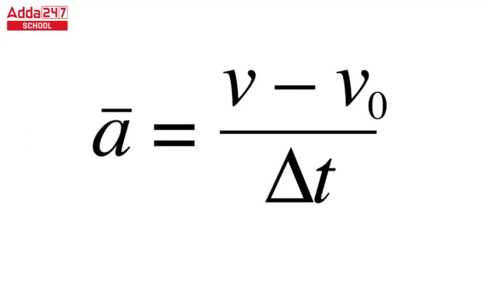
Acceleration

Kinetic Energy

Law of Universal Gravitation

Combined Gas Law

Law of Conservation of Momentum

Volume of a Cylinder

Centripetal Force
Fr/Fc*

Coulomb’s Law

Ohm’s Law

Resistance in a Parallel Circuit

Final Velocity

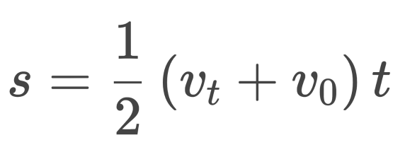
Displacement

Weight

Work Done

Potential Energy

Power

Electrical Power

Resistance in a Series Circuit
