1/31
Looks like no tags are added yet.
Name | Mastery | Learn | Test | Matching | Spaced | Call with Kai |
|---|
No analytics yet
Send a link to your students to track their progress
activating group
makes the aromatic ring react more readily with electrophiles
generally 2-4 directing
deactivating group
makes the aromatic ring react less readily with electrophiles
generally 3 directing
is -NH2/ -NHR 2 and 4 directing or 3 directing
2 and 4 directing
is -OH 2 and 4 directing or 3 directing
2 and 4 directing
is -OR 2 and 4 directing or 3 directing
2 and 4 directing
is -R/ -C6H5 2 and 4 directing or 3 directing
2 and 4 directing
are the halides 2 and 4 directing or 3 directing
2 and 4 directing
is RCOR 2 and 4 directing or 3 directing
3 directing
is -COOR 2 and 4 directing or 3 directing
3 directing
is SO3H 2 and 4 directing or 3 directing
3 directing
is CHO 2 and 4 directing or 3 directing
3 directing
is COOH 2 and 4 directing or 3 directing
3 directing
is -CN 2 and 4 directing or 3 directing
3 directing
is -NO2 2 and 4 directing or 3 directing
3 directing
is NR3+ 2 and 4 directing or 3 directing
3 directing
phenol as a week acid
phenol is less soluble in water than alcohols due to the presence of the non-polar benzene ring
when dissolved in water, phenol partially dissociates forming the phenoxide ion and a proton
because of this ability to partially dissociate to produce protons, phenol is classed as a week acid
it is more acidic than alcohols but less acidic than C.A so can only react with strong bases eg. sodium hydroxide
reaction of phenol with sodium hydroxide
phenol reactions with sodium hydroxide to form the salt, sodium phenoxide and water in a neutralisation reaction

bromination of phenol
phenol reacts with bromine water to form a white precipitate of 2,4,6-tribromophenol
the reaction colourises the bromine water
with phenol, a halogen carrier catalyst is not required and the reaction is carried out a room temperature

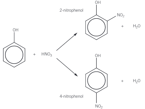
nitration of phenol
phenol reacts readily with dilute nitric acid at room temperature
a mixture of 2-nitrophenol and 4-nitrophenol is formed

comparing the reactivity of phenol with benzene
bromine and nitric acid react more readily with phenol than they do with benzene
the increased reactivity is caused by a lone pair of electrons from the oxygen p-orbital of the -OH group being donated into the Pi system of phenol
the electron density of the benzene ring in phenol is increased. This increased electron density attracts electrophiles more strongly than with benzene
the aromatic ring in phenol is therefore more susceptible to attack from electrophiles than in benzene. For bromine, the electron density in the phenol ring structure is sufficient to polarise bromine molecules and so no halogen carrier is needed
what is benzene like
a colourless, sweet smelling, highly flammable liquid
found naturally in crude oil, a component of petrol, found in cigarette smoke
classed as a carcinogen
the kekule model
based on a six membered ring of carbon atoms joined by alternated single and double bonds

evidence to disprove kekules model
the lack of reactivity of benzene
benzene does not undergo electrophilic addition reactions
benzene does not decolourise bromine under normal conditions
the lengths of the carbon-carbon bond
all of the bonds in benzene are the same length which is somewhere in between a single and a double bond
hydrogenation enthalpies
if it did have the structure that kekule proposed, it would have an enthalpy of hydration which is 3 times greater than that of cyclohexene (-360kj/mol)
the actuall enthalpy change of hydration is only -208 therefore benzene is much more stable than the kekule model
features of the delocalised model of benzene
benzene is a planar, cyclic, hexagonal hydrocarbon containing 6 carbon atoms and 6 hydrogen atoms
each carbon uses 3 of its available 4 electrons in bonding to two other carbon atoms and one hydrogen atom
each carbon atom has one electron in a p-orbital at right angles to the plane of the bonded carbon and hydrogen atoms
adjacent p-orbital electrons overlap sideways, in both directions above and below the plane of the carbon atoms to form a ring of electron density
this overlapping of the p-orbitals creates a system of pi bonds which spread over all 6 of the carbon atoms in the ring structure
the 6 electron occupying this system of pi bonds are said to be delocalised
naming an aromatic compound with one substituent group
the benzene ring is considered to be the parent chain
alkyl groups, halogens, and nitro groups are considered the prefixes to benzene
eg: ethylbenzene, chlorobenzene
when an alkyl chain has a functional group attached, benzene is considered to be a substituent so the prefix phenyl is used in the name
eg. phenylethanone
naming aromatic compounds with more than one substituent group
the ring is now numbered like a carbon chain starting with one of the substituent groups
the substituent groups are listed in alphabetical order using the smallest numbers possible
conditions of nitrogenation of benzene and why they are important
catalysed by sulphuric acid
heating to 50 degrees
if heated above 50 degrees further substitution reactions may occur leading to the production of dinitrobenzene
reaction mechanism for nitrogenation of benzene

how is a halogen carrier used in the bromination of benzene
benzene is too stable to react with a non-polar bromine molecules
the electrophile is the Br+ which is generated when the halogen carrier reacts with bromine
the bromium ion accepts a pair of electrons from the benzene ring to form a dative covalent bond
the organic intermediate is unstable and breaks down to form the organic product bromobenzene and a H+ ion
The H+ ion reacts with the FeBr4- ion to regenerate the FeBr3 catalyst
bromination of benzene mechanism6

alkylation reactions
the substitution of a hydrogen atom in a benzene ring by an alkyl group
reacting benzene with a haloalkane in the presence of AlCl3, which acts as a halogen carrier catalyst forming the electrophile

comparing the reactivity of alkenes with arenes (using bromination reaction)
in alkenes
the pi bind in the alkene contains localised electrons above and below the plane of the two carbon atoms in the double bond. This produces an area of high electron density
the localised electrons in the pi bond induce a dipole in the non-polar bromine molecules making one bromine atom of the Br2 molecjules slightly more positive and the other slightly negative
the slightly positive bromine atom enables the bromine molecule to act like an electrophile
in arenes
benzene will not react with bromine unless a carbon carrier is present
this is because benzene has delocalised pi electrons spread above and below the plane of carbon atoms in the ring structure.
the electron density of carbons in benzene rings is less than in a c=c
when bromine approaches the benzene, there in insufficient pi electron density around two carbon atoms to polarise the bromine molecule. This prevents any reaction from taking place