1/19
BIOL-3020 Amino Acids
Name | Mastery | Learn | Test | Matching | Spaced | Call with Kai |
|---|
No analytics yet
Send a link to your students to track their progress
Glycine, Gly, G, Nonpolar

Alanine, Ala, A, Nonpolar

Valine, Val, V, Nonpolar, Branched

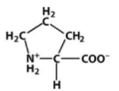
Proline, Pro, P, Nonpolar

Leucine, Leu, L, Nonpolar, Branched

Isoleucine, Ile, I, Nonpolar, Branched

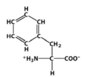
Phenylalanine, Phe, F, Nonpolar, Aromatic

Methionine, Met, M, Nonpolar, Sulfurous

Tryptophan, Trp, W, Nonpolar, Aromatic

Serine, Ser, S, Polar (Neutral), Hydroxyl Group

Threonine, Thr, T, Polar (Neutral), Hydroxyl Group

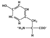
Tyrosine, Tyr, Y, Polar (Neutral), Hydroxyl Group, Aromatic

Cysteine, Cys, C, Polar (Neutral), Sulfurous

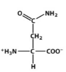
Asparagine, Asn, N, Polar (Neutral)

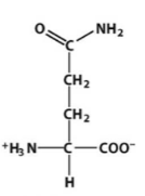
Glutamine, Gln, Q, Polar (Neutral)

Lysine, Lys, K, Positive/Basic

Arginine, Arg, R, Positive/Basic

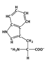
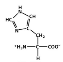
Histidine, His, H, Positive/Basic

Aspartate, Asp, D, Negative/Acidic

Glutamate, Glu, E, Negative/Acidic
