1/20
Looks like no tags are added yet.
Name | Mastery | Learn | Test | Matching | Spaced | Call with Kai |
|---|
No analytics yet
Send a link to your students to track their progress

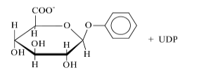
What happens during Glucuronidation?
Adds glucuronic acid to a substrate (–OH, –COOH, –NH₂, –SH) → increases polarity → easier excretion / increased water solubility

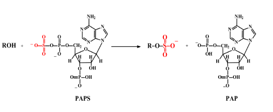
What happens during sulfation?
Adds sulfate group (–SO₃⁻) to substrate (–OH, –NH₂) → increases polarity → easier excretion
Detoxifying!

What happens during Glutathione (GSH) conjugation?
GSH attaches to electrophilic/toxic molecules → forms less reactive, more water-soluble conjugates → easier excretion

What electrophiles work as substrates for glutathione S‑transferases (GST)?
Quinones
α,β‑unsaturated carbonyls
Nitroaromatics
Aryl / Alkyl halides
Epoxides


What happens during Glutathione peroxidase?
Reduces H₂O₂ or peroxides → H₂O or alcohol
Uses 2GSH → GSSG

What happens during Acetylation?
Adds an acetyl group (–COCH₃) from Acetyl-CoA to substrates (–NH₂, –OH) → reducing its activity and making it more easily excreted

What happens during Methylation?
A methyltransferase enzyme transfers a methyl group (–CH₃) from SAM to a drug/metabolite on O, N, or S atoms → altering activity, solubility, or receptor interactions
What happens during conjugation with Amino Acids?
Attaches amino acids (glycine, glutamine, taurine) to carboxylic acids → increases polarity → easier excretion
What enzymes and cofactors are needed for glucuronidation?
Enzyme → UDP‑glucuronosyltransferases (UGTs)
Cofactor → UDP‑glucuronic acid (UDP‑GA)

Where is UGT and UDP-GA found?
In the microsomes of the ER
Next to CYP450 and reductase !
What are the enzymes and cofactors needed for sulfation?
Enzyme → Sulfotransferases (SULTs)
Cofactor → 3′‑phosphoadenosine‑5′‑phosphosulfate (PAPS)
What enzymes and cofactors are needed for glutathione (GSH) conjugation?
Enzyme: Glutathione S‑transferases (GSTs)
Cofactor: Reduced glutathione (GSH)

What is glutathione (GSH) conjugation and why is it important?
Protects cells from toxic electrophiles/metabolites.
Pathway role → First step in mercapturic acid formation
How are mercapturic acids formed and why are they important?
Formation: Electrophile + GSH → enzymatic removal of glutamate and glycine → acetylation of cysteine → mercapturic acid → excreted in urine
Importance → Detoxifies reactive compounds and makes them water-soluble for safe excretion.
Why is the G‑SH linkage in glutathione important, and what is the Y‑linkage?
G‑SH (thiol) group → Sulfur is nucleophilic, allowing GSH to react with electrophiles to detoxify harmful compounds → is the active site for conjugation
Y‑linkage (gamma-glutamyl bond) → The gamma-carboxyl of glutamate links to cysteine, forming a unique bond resistant to proteases, stabilizing GSH in cells and allowing selective enzymatic processing during mercapturic acid formation
How does glutathione (GSH) act as a nucleophile and an antioxidant?
As a nucleophile → The thiol group (–SH) of GSH donates electrons to electrophilic drugs or metabolites, forming GSH conjugates and detoxifying them.
As an antioxidant → GSH donates electrons to a ROS, reducing them to harmless molecules, and is itself converted to GSSG (oxidized glutathione).
What enzymes and cofactors are needed for acetylation?
Enzyme → N‑acetyltransferases (NATs)
Cofactor → Acetyl coenzyme A (Acetyl‑CoA)
Transfers an acetyl group to drugs or metabolites, making them less active and more easily excreted
What are acceptors for acetyl groups during acetylation?
Arylamines (aromatic –NH2 groups)
Aliphatic amines (non-aromatic –NH2 groups)
α‑Amino groups in some amino acids
Hydrazines (–NH–NH2)
Sulfonamides (–SO2–NH2)
What enzymes and cofactors needed during methylation?
Enzyme: Methyltransferases (e.g., COMT, POMT, TMT, TPMT, N-methyltransferases)
Cofactor: S‑adenosylmethionine (SAM)
What are acceptors for methylation?
O‑groups: e.g., hydroxyls on catechols
N‑groups: primary and secondary amines, heterocyclic nitrogens
S‑groups: thiols (–SH)
What cofactors and enzymes are needed for conjugation with amino acids?
Enzyme: Amino acid transferases (e.g., glycine N‑acyltransferase)
Cofactor: Coenzyme A (CoA)